-
53001. 匿名 2025/06/07(土) 19:31:24
>>52998
👹さんのスカートが不自然なんだけど何か加工とかしてるの?+46
-0
-
53002. 匿名 2025/06/07(土) 19:33:03
>>51729
うしろに赤い絨毯が見えますけど、佳子はなんでそこから外れて旗を拾ってるんですか?
佳子に付き従ってる女性職員は自分が拾わず、佳子に拾わせたんですかね。レストランで何かを落としても自分で拾ってはいけませんよね。
まぁ職員は前に出にくいってことは有り得ますから、佳子さんがもっとスマートに腰を落としたらまだ良かったですのにね。カーテシーのポーズで拾えば良かったんですよ。+31
-1
-
53003. 匿名 2025/06/07(土) 19:33:04
>>52979
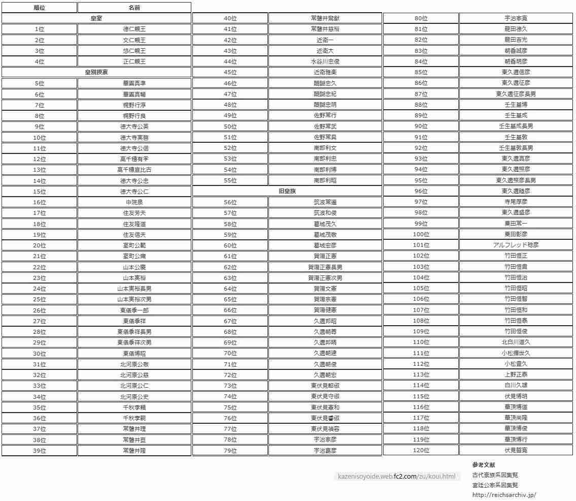
陛下が皇太子時代の拾い物です
これを見つけた時に、旧宮家って継承順位低いやんって思った![比較されがちなこと]()
+95
-0
-
53004. 匿名 2025/06/07(土) 19:34:12
>>52724
手前の華子さまか喜久子さま?もティアラしてるよね。①イギリス側とダイアナ妃だけが間違えたドレスコードを伝えられていた②ダイアナ妃が勝手にカジュアルダウンした
②はないと思う。勲章とサッシュしないでティアラだけだよ🥗さん。その巻き添えで華子さまか喜久子さまもティアラありなのにサッシュなし
封印というかこの映像や写真隠す理由はある、+89
-0
-
53005. 匿名 2025/06/07(土) 19:35:58
>>53001
Crown Prince and Crown Princess of Japan visited Kultaranta - Tasavallan presidentti Sauli Niinistöwww.presidentti.fiCrown Prince and Crown Princess of Japan visited Kultaranta - Tasavallan presidentti Sauli NiinistöSuomeksiPå svenskaSkip to contentMenuHomeCurrent affairsNewsPress ReleasesSpeechesFrom the President’s penPicturesVideosCurriculum vitaeSauli Niini...
フィンランドのサイトに写真たくさんありましたが不思議なプリーツ入ってるから変な感じにみえるのかもしれませんね。+17
-0
-
53006. 匿名 2025/06/07(土) 19:40:31
ブラジル「不毛の地」開発で貢献 JICA、日系コミュニティ支援に尽力の歴史(産経新聞) - Yahoo!ニュースnews.yahoo.co.jp【サンパウロ=吉沢智美】ブラジルを公式訪問中の秋篠宮ご夫妻の次女、佳子さまは現地時間の6日、国際協力機構(JICA)から派遣された日本のボランティアとサンパウロで懇談された。 日本からブラジルへの
なるほど。
JICAが絡んでるわけねえ!!ふ~ん。
勲章と副賞金は、ここからかな〜?+65
-1
-
53007. 匿名 2025/06/07(土) 19:41:16
>>51501
保守=共産中国は敵
だから半島も保守。
半島は皇室狙ってるんだから当然意見は合いませんよね。+7
-0
-
53008. 匿名 2025/06/07(土) 19:43:35
>>53003
うわー貴重!ありがとうございます。スクショしとこ+72
-0
-
53009. 匿名 2025/06/07(土) 19:44:03
>>52987
年中無休で長期間「閉店セール」をしてる商法を思い出したw+30
-1
-
53010. 匿名 2025/06/07(土) 19:45:37
>>53003
皇別摂家のほうが旧宮家より血が濃いってことですね。順位が旧宮家より全部上になってます。
旧宮家で一番上の賀陽さんちが60位台。
久邇家がその下で、
噂の東久邇家は80位台。
竹田は100位台だよ。+97
-1
-
53011. 匿名 2025/06/07(土) 19:45:51
>>53003
ケケ田さんは100位にも入っていないのかw+72
-0
-
53012. 匿名 2025/06/07(土) 19:46:12
>>53003
ありがとうございます。
この表をみると、皇別摂家の男系の末裔の方が旧宮家男子より
皇位継承資格順位が上なんですね。
竹田恒泰氏は108位!
彼に皇位がまわってくる可能性はゼロに近い。
+72
-0
-
53013. 匿名 2025/06/07(土) 19:46:19
>>52990
フィンランド人のほうが、日本国民より皇室の内情をご存知のようね!+77
-0
-
53014. 匿名 2025/06/07(土) 19:46:53
>>52787
971病院って誰も利用してないよね?なぜか()いつも敬宮さまのご公務に被せて、お気に入りのトーダイ病院にすぐ入院できる体制になってるし+28
-1
-
53015. 匿名 2025/06/07(土) 19:47:09
>>52607
この授賞式のYouTubeがあったから
プリンセスカコに知事から勲章と副賞で大金が与えられたのをサンパウロ州民は知っているのでしょうか?
プリンセスカコが受け取る大金は元はサンパウロ州民の税金ではないでしょうか。
とコメントしてみた。
どうか誰か現地の人に響いて欲しい!!
出所が税金からなら現地住民にしたらふざけるな!だし、出所が日本の裏金ならマネロンだし。
+59
-1
-
53016. 匿名 2025/06/07(土) 19:49:18
>>52952
右下に書いてあるのは中華の言葉?+30
-0
-
53017. 匿名 2025/06/07(土) 19:49:21
>>52991
おねだりしてますね
昨日のブラジル日報から
>帰り際に佳子さまから「今植えた桜が咲いたら、また来たいですね」と申されたので、「3年後に日本移民120周年がありますので、よろしかったらぜひ」とお誘いしたら笑っていたという。+44
-0
-
53018. 匿名 2025/06/07(土) 19:51:43
>>53010
100位代なんてもう平民じゃんw+74
-0
-
53019. 匿名 2025/06/07(土) 19:52:32
>>52953
そうなの!?
姉への送金係かと思ってたわ!!+25
-2
-
53020. 匿名 2025/06/07(土) 19:52:36
>>53003
アルフレッド宮家…とかできる可能性もある旧宮家復帰より直系長子でお願いします+45
-0
-
53021. 匿名 2025/06/07(土) 19:53:54
>>52953
アニータの日本人バージョンw+11
-0
-
53022. 匿名 2025/06/07(土) 19:54:14
>>53018
だよね~
平民の「血」のほうが濃ゆいじゃん!+41
-0
-
53023. 匿名 2025/06/07(土) 19:54:26
>>53011
横。
皇族芸人竹田恒泰氏の皇位継承資格順位は108位だそうです。
彼が皇位を継承する可能性はほぼゼロですね。
なーんだ。
竹田さんってダンケーダンシ!とイキってたくせに、
実は皇位継承資格順位は皇別摂家の男系の末裔より下なんですね。
男系からみたらたいしたことない。
女系(明治天皇の玄孫です)を持ち出さないと話しにも
ならないんですね。
わたくしタケダは南北朝時代の北朝の崇光天皇の男系の末裔です!
皇位継承資格順位は108位です!
なにそれ?ですよね。
+59
-0
-
53024. 匿名 2025/06/07(土) 19:55:07
>>52732
全く感覚的な問題ですよ。
明治時代の元凶、井上毅ですら女系で王朝が変わると「皇室が崩壊する」何がどう崩壊するかなんて具体的に述べてません。
結局は家父長制度で、男が家を継ぐ。女が男より偉くなるなんてあってはならない
という差別的、感覚的な理屈ですから。
天皇家には姓なんてないのにね、+41
-0
-
53025. 匿名 2025/06/07(土) 19:55:26
>>52968
こんなシンプルな食卓椅子みたいのじゃなくて宝石付きの玉座みたいな椅子だったよ+8
-2
-
53026. 匿名 2025/06/07(土) 19:55:59
>>52952
顔、デッカイね〜
+40
-0
-
53027. 匿名 2025/06/07(土) 19:56:48
>>53016
百家号って、雑誌名かな?+13
-0
-
53028. 匿名 2025/06/07(土) 19:57:07
筑波大、人文系のカリキュラムも変更へ 国の審議会答申を反映か
6/7(土) 11:04
筑波大は、人文・文化学群の下にある人文▽比較文化▽日本語・日本文化――の3学類(学科)を29年4月に統合し、同学群を新たに「人文学専門学群」に改組する方針を、学内の関係者に示している。
筑波大学やりたい放題だな
没が入学するとカリキュラム変更も可能か
+29
-0
-
53029. 匿名 2025/06/07(土) 19:57:10
>>53022
やっぱり皇室芸人だったのねw+31
-0
-
53030. 匿名 2025/06/07(土) 19:57:38
読売がカコさん外国訪問の写真まとめページ作ってるけど、本人比で最初のオーストリアが一番まともに見える
佳子さまの外国ご訪問 : 読売新聞www.yomiuri.co.jp秋篠宮家の次女佳子さまが6月4日から14日間の日程で、外交関係樹立130周年を迎えたブラジルを公式訪問される。佳子さまの外国公式訪問は、昨年のギリシャに続き、4回目。これまでの訪問をお写真で振り返る。(2025年6月3日公開)
+11
-0
-
53031. 匿名 2025/06/07(土) 19:57:47
>>52986
去年ぐらいから急に消えるようになった印象です。
それまでは普通に貼られててみんなコメントしてた。+30
-1
-
53032. 匿名 2025/06/07(土) 19:58:44
>>52983
バカじゃないの?
早く赤坂から出ていけ。+68
-0
-
53033. 匿名 2025/06/07(土) 20:00:14
男系=異国の教義な気がする…
極右の人も混じってるかもしれないけど共闘しているから実質仲間意識は強い気がする+9
-0
-
53034. 匿名 2025/06/07(土) 20:00:39
>>52847
アホで申し訳ないですがこれは自民党が野党になれば廃止されるの?+37
-1
-
53035. 匿名 2025/06/07(土) 20:02:24
>>53010
>皇別摂家の方が旧宮家より血が濃いってことですね。
(皇位継承資格)順位が旧宮家より上になってます
横。
皇別摂家の男系の子孫の方が現在の天皇家と血が近いそうです。
愛子さまのお婿さんにダンケーダンシ!というなら、旧宮家男子に
固執する必要はないそうです。
皇別摂家の男系の末裔とか公家源氏(天皇の皇子や孫が臣籍降下
して建てた家)もいるので。
(旧宮家男子に固執すると候補者は数人しかいないそうですが。
皇別摂家の男系の末裔とか公家源氏にまで範囲を広げると、
候補者は20名ぐらいになるそうです)
+37
-0
-
53036. 匿名 2025/06/07(土) 20:02:39
>>52847
それ本当?例の事件が起きてから正体を隠さなくなってきた気がしない?+43
-0
-
53037. 匿名 2025/06/07(土) 20:03:22
>>52983
某YouTubeで見たけどこの時かな?ハイタッチしたみたいね、写真も出てたわよ もう地下アイドルやっとればいいわ皇族やめて その方が幸せでしょう 30過ぎた地下アイドルw+51
-1
-
53038. 匿名 2025/06/07(土) 20:05:03
+8
-0
-
53039. 匿名 2025/06/07(土) 20:05:51
>>53003
へー、凄い資料ですね。
私もスクショで保存させていただきます。
これ、麻生とケケ田に送りつけてやるか?
逆効果かな。杉子が白足袋とやらに絡んでるみたいだし。+46
-0
-
53040. 匿名 2025/06/07(土) 20:07:01
>>52823
中国は(ついでに韓国も)学歴社会社会だそうですね。必死に勉強して、人生をかけて入試に挑み、勝ち残ったり悔しい想いをしたりした人がいっぱいいるわけです。彼らからすると「指摘に感謝」でお馴染みのあの子なんて軽蔑の対象にしかならないんじゃないかな。+11
-0
-
53041. 匿名 2025/06/07(土) 20:08:03
>>52979
旧宮家(伏見宮家系)についてさらに言うと
伏見宮13代当主は元は鍛冶屋の徒弟で「安藤長九郎」と名乗ってました。
伏見宮家11代と12代の早世により連れて来られた安藤家の子で10代当主の御落胤とされていますがDNA鑑定もない時代で証明されていません。
そして旧宮家は全てこの13代伏見宮の子孫です。
明治天皇、大正天皇の皇女と婚姻をして皇統と繋がっている旧宮家もありますが、それって女系ですよね。+21
-0
-
53042. 匿名 2025/06/07(土) 20:08:05
>>53038
URLがうまく機能しなかったのでもう一度![比較されがちなこと]()
+28
-1
-
53043. 匿名 2025/06/07(土) 20:09:38
>>53025
ごめん、「貼ると速攻で消される写真」ということで貼りました。+20
-0
-
53044. 匿名 2025/06/07(土) 20:09:47
>>52847
横。
独身税導入する前に宮家の居座り娘たち(かーぽん、☂☂☂姉妹)を
強制的に皇籍離脱させるべきだと思いますが。
そうすれば少しは宮内庁総予算を減らすことができるから。
+94
-0
-
53045. 匿名 2025/06/07(土) 20:09:49
>>53003
継承順位が下の順位の、自分には全然チャンスのめぐってこない不可能ランキングの人間達が勝手に騒いで暴れてるのがなう、なのね、分かったわ。特権と金目当てなのは明らかね+65
-0
-
53046. 匿名 2025/06/07(土) 20:09:54
>>53022
自分から皇族になりたがる輩にロクなのはいませんな+42
-0
-
53047. 匿名 2025/06/07(土) 20:10:12
>>52756
全ての悪事が明るみになって擁護しきれないようなドス黒い事実も出てきて苦渋の決断で陛下が皿との絶縁宣言したとしても誰も咎めない。+23
-0
-
53048. 匿名 2025/06/07(土) 20:10:59
>>53018
それなのに三種の神器Tシャツ作って、自分の残念フェイスまで恥ずかしげもなくプリントしちゃうんだぜ+30
-1
-
53049. 匿名 2025/06/07(土) 20:11:15
《「へちま襟」をお召しになって》愛子さまフォーマルな装いは雅子さまがお好みのもの「戦後80年」犠牲者への祈り(女性セブンプラス) - Yahoo!ニュースnews.yahoo.co.jp1945年の終戦から80年の節目を迎えるにあたり、天皇皇后両陛下と長女の愛子さまは、6月4日から5日にかけて、かつて県民を巻き込んだ地上戦が展開された沖縄県を訪問された。
2日目の午前中はシックなネイビーのスーツを着用し、同色の帽子を合わされた。
特に印象的だったのは襟元だ。今回愛子さまがお召しになったのは、上襟と下襟の境目がない、「ショールカラー」と呼ばれる形の襟のものだった。
「ショールを肩にかけたようななだらかなカーブが特徴的で、その形状が野菜のへちまに似ていることから『へちま襟』と呼ばれることもあります。
タキシードに用いられることが多いデザインで、細長くつながった襟の形が落ち着きのある上品な雰囲気を醸し出すので、上下が分かれた襟よりもフォーマルな印象を与えてくれます。慰霊の旅にそぐった選択だといえるのではないでしょうか」![比較されがちなこと]()
+72
-0
-
53050. 匿名 2025/06/07(土) 20:11:23
>>52968
背中のやつがコードに見えて電気ビリバリビリバリバリ💀⚡️、ほら処刑完了、だっけ?+25
-0
-
53051. 匿名 2025/06/07(土) 20:11:25
>>53044
あの人たち全部一般人にしたら独身税取らなくてすみそう ボツも皇族やめて大学も今までの貯金で行ってくれ+70
-0
-
53052. 匿名 2025/06/07(土) 20:11:33
>>53011
ケケ田一族の中でも順位低いね
三男の息子だからそんなもんか+34
-0
-
53053. 匿名 2025/06/07(土) 20:11:37
>>53010
皇別摂家の方が男系男子として血筋が近い話は、初めて知った。男系男子派は旧宮家のなかで都合良く女系の血筋も入れて話を展開してると思ったら、他に男系男子としてまだ上がいたんだ。男系男子が本当に大切なら、順位通り旧宮家より先に皇別摂家に復帰の意思があるか聞くのが道理なのでは?
こんなややこしい話は理解されないから直系長子がいいけど、男系男子派のご都合主義が酷い。+66
-0
-
53054. 匿名 2025/06/07(土) 20:12:06
>>53024
横。
井上毅は娘しか授からなかったんですよね。
自分はダンケーダンシ!といってたくせに、息子ゼロ!
よくまあそんなこといえるわね、といいたい。
+64
-0
-
53055. 匿名 2025/06/07(土) 20:13:05
>>52724
こういうのを今検証すると英国で女王陛下にバックを揺らされた背景とか女王陛下のメモリアル動画で平成負債だけがすっ飛ばされたワケや今の天皇皇后両陛下が大歓迎を受けた理由がよく分かるね。
バックを揺らされたのもよく考えたら単なる一時的なマナー違反だけでは女王陛下お怒りにならないと思った。英国王室に対して度重なる無礼と攻撃とも思われかねない嫌がらせを重ねてきた結果だわ。+123
-0
-
53056. 匿名 2025/06/07(土) 20:13:19
>>52961と>>52975はXでも貼ったらソッコー消されるの?
+11
-0
-
53057. 匿名 2025/06/07(土) 20:13:49
>>52953
え?ランボル同伴じゃないの?+21
-0
-
53058. 匿名 2025/06/07(土) 20:14:17
>>52372
3番目の写真、周り真っ暗に塗りつぶされてるんだけど、何でだろ?!
青い部分翻訳↓
サンパウロ(SP)、2025年6月6日 - ブラジルの日本文化社会扶助協会である秋篠の加子姫殿下がリベルダーデ地区を訪問。写真:Paulo Pinto/Agência Brasil![比較されがちなこと]()
+48
-0
-
53059. 匿名 2025/06/07(土) 20:14:19
>>52660
普通に憲法違反じゃんね(官僚人事への口出し=政治に干渉しない原則違反)。
いつも思うんだけど、こういうの書く記者ってどうして憲法違反じゃないの?とか疑問に思う感覚がないのだろう。わざとだって意見も時々見かけるけど、そんなの読み手に知識がなければ伝わらないし大半の人は記者の書くことが問題提起だと明示されてなければスルーどころか問題がないのだと誤解するよ。
それはそれですごくたちが悪いよなぁ…。+26
-0
-
53060. 匿名 2025/06/07(土) 20:14:43
>>53049
この敬宮様ひときわお美しい✨+41
-0
-
53061. 匿名 2025/06/07(土) 20:15:37
>>52992
天から選ばれし未来の帝としか思えないような写真だもんね
どんなにアイツラが邪魔してもホンモノの威厳には勝てないよ
+37
-0
-
53062. 匿名 2025/06/07(土) 20:15:49
>>53058
なんか公に出すものとして尋常じゃないね+105
-1
-
53063. 匿名 2025/06/07(土) 20:16:03
>>52996
うん、ちゃんとした着物との合成だよね+42
-0
-
53064. 匿名 2025/06/07(土) 20:17:08
>>53053
でもこれが知れ渡れば興味ない人にも養子案が現実的じゃないことがわかってもらいやすいかもね+35
-0
-
53065. 匿名 2025/06/07(土) 20:17:49
>>51742
>「血統」というものにこだわることのない一般庶民の多くは、「そんな親戚でもないような遠縁の人よりも、天皇陛下と家族の愛子さまとか、姪の小室眞子さんの子どもとかのほうがいいんじゃない?」と思ってしまうのだ。
馬子は正式な儀式もせずに自ら出ていったでしょ💢バーさんは戻したいみたいだけどダメダメ。
+20
-0
-
53066. 匿名 2025/06/07(土) 20:17:52
>>53058
こっわ、何かを隠したいのかもしれないけど、ヤバい写真にしか見えない
禍々しいわ+108
-0
-
53067. 匿名 2025/06/07(土) 20:18:23
>>53042
こういうの見ることができるからここのぞくのやめられないんですw+22
-0
-
53068. 匿名 2025/06/07(土) 20:18:27
>>53054
長女に婿養子をとって孫に男児が生まれたけど、その子はパッとしなかったらしく、記録がないのよね
どうやら行方不明になって没年も不明+14
-0
-
53069. 匿名 2025/06/07(土) 20:19:38
>>53002
>>52397を参照するとお見送りの方たちにお手振りとハイタッチするために絨毯から外れた+11
-0
-
53070. 匿名 2025/06/07(土) 20:20:05
>>53058
やっぱり歓迎されてない感じがする。+90
-0
-
53071. 匿名 2025/06/07(土) 20:20:07
>>53037
ほんと地下アイドル感すごいわ
三十路だけど+26
-1
-
53072. 匿名 2025/06/07(土) 20:21:00
>>52732
女って命かけて子供を産むから、本能的には自分より優れた遺伝子の相手以外、子供を産みたくないんですよね。
けど、昔の文明が栄えていない頃は、集団組織を作らざるを得なかった
集団組織を継続させるために、女の自由意志を無視して強引に婚姻させてきた。どこの国も大昔の女性の地位が低いのは、集団であるために女を産む道具にせざるを得なかった。特に大陸は侵略の危機に常にさらされてきたから。
韓国も少子化が問題になってるからね。
先進国に少子化問題が起きるのは、昔と違って生き残るのに集団である必要がなく、そうなると当然女は嫌な人間の子供なんて産みたくないわけですよ。
でもそれだと、国家という集団組織には都合が悪いんですよね。
自民改憲案にツボと同じ家庭の項目が創設されたのは戦前のような国家主義を作りたいんだろうなと思ってる。+14
-1
-
53073. 匿名 2025/06/07(土) 20:21:19
>>53053
横。
なるほど・・・。
旧宮家男子養子案がでてきたのは、旧宮家男子の皇位継承資格順位が
皇別摂家の男系の末裔より下だからなんですね。
(皇族芸人竹田恒泰氏の皇位継承資格順位は108位!
彼が皇位継承できる可能性はゼロに近い)
旧宮家男子が一気に皇位継承資格順位をあげる方法が
既存宮家の養子になることだったーというわけなんですね。
詐欺師まがいの方法なんですね、旧宮家男子養子案は。
旧宮家男子より天皇家に男系からみて血が近い方がいらっしゃる
なら、そちらの方々にまず皇室に入っていただく意志があるか
否か?確認すべきだと思いますが。
愛子さまのお婿さん候補者リストも皇別摂家の男系末裔の
方々の方が旧宮家男子より上位になるーということになります。
+32
-1
-
53074. 匿名 2025/06/07(土) 20:21:32
>>52943
過去写真・画像もも紺色っぽくしたり和久井映見を入れて加工してるのあるから気をつけて。
生え際綺麗になってるのは全部後から加工だと思う![比較されがちなこと]()
+25
-0
-
53075. 匿名 2025/06/07(土) 20:21:45
>>53001
私だけかもしれないけど、ゴキ子サムが左下がりになってるように見えるんだよな…気のせいか?+12
-1
-
53076. 匿名 2025/06/07(土) 20:22:07
>>52979
天皇はまでは無理かもだけど、日本人なら先祖をたどれば源氏か平氏に行きつくと言われているよね。
公家は源氏物語みたいに、あちこちに子ども残してそうだしね。
うちも伝説では、父方は旗本で清和源氏の子孫。母方は農民だけと、平家の落武者を受け入れた集落だから子孫の可能性があると言ってたよ。+24
-0
-
53077. 匿名 2025/06/07(土) 20:22:25
>>53003
資料ありがとうございます。
上のコメにも近衛家あったけど、検索したら元総理の近衛文麿も皇別摂家だった。
上流は皆何かしらつながってますね。
男系=旧宮家とか、ミスリードも大概にしてほしいわ。
上流に石投げたら男系に当たるレベルでもっと沢山いるでしょ。+49
-0
-
53078. 匿名 2025/06/07(土) 20:22:27
超久しぶりにここ来たけど、連日のTVで鹿子ハラすごいね
税金で海外旅行かよ
次のトピってどこか情報出てますか?+14
-1
-
53079. 匿名 2025/06/07(土) 20:23:04
>>53023
この資料を見つけた時にケケ田は?って探して煩悩の数やんって笑いました
亡くなられた方や産まれた子もいるから少し順位も変わっていると思います+23
-0
-
53080. 匿名 2025/06/07(土) 20:23:18
>>52561
この車は車高が高く、クラウンタイプより段差があるので座席に浅く座る所から始めないと無理です。深く腰掛けた状態から浅く座る。その後は52561さんの仰る通りだと思います。座席に深く座ったまま無理に立ち上がろうとしてるのが一番目の原因かと。+13
-0
-
53081. 匿名 2025/06/07(土) 20:24:03
>>53017
バカみたい
おねだりに乗っかって何誘ってるんだろう?
お互い旅行気分だね
この団体にも日本人の税金流れてるのかしら+38
-0
-
53082. 匿名 2025/06/07(土) 20:26:17
>>52724
コレってミテコ本なの?もしそうなら間違いなく晩餐会の「中心」は
ミテコという意味だろうね
でも、この時の英皇太子夫妻の来日は凄いフィーバーでミテコなんて
みんな眼中にもなかったと記憶してるわ
週刊誌にもダイアナ妃はあの美貌で、しかも宝石を山ほど持っている、
残念ながら日本の妃殿下たちは太刀打ちできない、とまで書かれていた
その当時はミテコはそこまで高い評価じゃなかったような気がするよ
グレース王妃の葬儀にもミテコさんじゃ役不足とはっきり書かれる始末
だったしね+53
-1
-
53083. 匿名 2025/06/07(土) 20:26:20
>>53051
皇族って私的に貯金しちゃダメじゃなかった?+14
-0
-
53084. 匿名 2025/06/07(土) 20:26:21
>>53003
この中の第2位と第3位が断トツ平民混ぜても底辺でしょ?
1位の長子様が一番継承者だわよね。+47
-0
-
53085. 匿名 2025/06/07(土) 20:26:47
>>53058
周りに写り込んだらまずいものがあるのかな?
この写真がトップってのもすごくないですか?
悪意あるとしか思えないんだけどw
🦌何したんだよ?と思うけど、日本の血税使われてるなら普通ならこういう仕打ちはちょっと腹立つぞ。でも🦌だからいいぞもっとやれという気持ちもある。
それが国益を損ねているということよね。![比較されがちなこと]()
+96
-0
-
53086. 匿名 2025/06/07(土) 20:28:52
>>53076
横ですが同感です。
戦後皇籍離脱した11宮家はすべて伏見宮家をルーツとして
いるわけですが。
伏見宮家はいまから600年前に北朝(南北朝の北朝)の崇光天皇の
皇子が設立した宮家です。
南北朝時代の皇子をルーツとした庶民も結構いると
思いますよ?
後醍醐天皇の皇子のご落胤の末裔とされる方々もいらっしゃる
らしいし。
つまり旧宮家は男系からみたら庶民と大差ないわけです。
+35
-0
-
53087. 匿名 2025/06/07(土) 20:29:41
>>52660
これはジャーナリストの宿命というか、
取材対象がよろこぶ記事を書かないと
取材対象の本音を聞き出せないからね
男子にこだわる上皇のマイナス面を
書いただけでも頑張ったと思う+6
-0
-
53088. 匿名 2025/06/07(土) 20:29:44
>>53017
桜抜きに行きたい+8
-1
-
53089. 匿名 2025/06/07(土) 20:29:46
ぶった斬るけど、独身税🦌❄️⭐️からもたっぷり取ってほしい
お車代でしこたま稼いでるんだからさ+11
-0
-
53090. 匿名 2025/06/07(土) 20:30:02
>>53082
1人で折り詰め弁当食ってる人みたいだったね、ミテコ。
当時ミテコの存在ってなかったな。ただのおばあさん皇族としか。ここまで邪悪で攻撃的とは知らなかった。+48
-1
-
53091. 匿名 2025/06/07(土) 20:30:28
>>52998
珍しく明るい場所での写真と思ったら相手国なのか。でも海外発の写真じゃないからか、全体的に斜めじゃない?なぜ?+11
-0
-
53092. 匿名 2025/06/07(土) 20:30:48
>>53083
そうなんだ!でもやってそう+11
-0
-
53093. 匿名 2025/06/07(土) 20:30:49
>>50862
いや……
サザエさん上唇が
気になって仕方ないんだけど😆+6
-0
-
53094. 匿名 2025/06/07(土) 20:31:05
>>53086
ですよね…
これを記事にしないメディアよ
このトピ消されそうだわ
+17
-0
-
53095. 匿名 2025/06/07(土) 20:31:07
>>51794
あれ?
共テを受ける必要のない推薦入試を作ったのも、
英語のレベル別テストがオンラインになったのも、
学期末の筆記試験がなくなったのも、
もしかして、彼のせいですか?
+29
-0
-
53096. 匿名 2025/06/07(土) 20:31:15
>>52998
大統領夫人、目が横向いてるよ笑
目も合わせたくないのね。
+20
-0
-
53097. 匿名 2025/06/07(土) 20:31:31
>>53000
ナマズの子じゃないからだよ。
鹿はナマズもいっしょに楽しんだ時にできた子なんでしょ。
ナマズ負債生殖能力だけは無駄にあるわ+29
-0
-
53098. 匿名 2025/06/07(土) 20:31:37
>>53085
台まで用意してもらったにも関わらず…降り方が一般人+73
-0
-
53099. 匿名 2025/06/07(土) 20:31:48
>>53088
育たないかも。+5
-0
-
53100. 匿名 2025/06/07(土) 20:32:02
>>52847
だったら、既婚子なしからも
とらないと不公平。+25
-5
-
53101. 匿名 2025/06/07(土) 20:32:11
>>53081
二度と行かせねー!桜には悪いけど枯れろと思ってしまう+27
-0
-
53102. 匿名 2025/06/07(土) 20:33:25
佳子さま、着物姿で歓迎レセプションに…「友好関係の発展に寄与してこられた全ての皆様に深い感謝と敬意を表します」(読売新聞オンライン) - Yahoo!ニュースnews.yahoo.co.jp【サンパウロ=坂場香織】ブラジルを訪問中の秋篠宮家の次女佳子さまは6日(日本時間7日未明)、サンパウロで、国際協力機構(JICA)から派遣されている日本のボランティア隊員らと面会された。
愛子さまが晩餐会でシャンパングラスに口をそっとつけるのが初々しかったら
カコはそれがやりたかったんだろうな
水商売にしか見えないけどね
![比較されがちなこと]()
+8
-42
-
53103. 匿名 2025/06/07(土) 20:33:55
>>53102
チーママ+52
-0
-
53104. 匿名 2025/06/07(土) 20:34:00
>>52847
え?いつ決まったの?!
それって、既婚者でも死に別れたら取られるようになるの?
ほとんどの高齢者からも?+18
-1
-
53105. 匿名 2025/06/07(土) 20:35:07
>>53102
着物が薄っぺらいっす…+60
-0
-
53106. 匿名 2025/06/07(土) 20:35:22
>>53090
私が生まれた時からずっとおばあさんだった人という記憶+42
-1
-
53107. 匿名 2025/06/07(土) 20:35:28
>>52724
ミテコがダイアナさんと同じ画面に
いる画像初めて見ましたわ+41
-0
-
53108. 匿名 2025/06/07(土) 20:35:47
>>53040
太古の昔から学歴社会だよ。科挙の名残が今もある。+5
-0
-
53109. 匿名 2025/06/07(土) 20:35:48
>>53058
同じ場所の写真だと思いますがこの形で掲載されてました。
何か・・・あるのかも。
Brazil Japan Princess | World | hjnews.comwww.hjnews.comJapan's Princess Kako of Akishino attends a meeting at the Bunkyo Brazilian Society of Japanese Culture in Sao Paulo, Friday, June 6, 2025. (AP Photo/Andre Penner)
![比較されがちなこと]()
+3
-79
-
53110. 匿名 2025/06/07(土) 20:35:54
>>53068
スピ入るけど、絶える家は何しても絶えるのよ。+41
-2
-
53111. 匿名 2025/06/07(土) 20:35:56
>>53104
そんな暴挙にでたら無敵の独身からカップルや夫婦が刺されないかしら?いつも分断煽るね 文化大革命が手本なのかしら?今の政府+18
-1
-
53112. 匿名 2025/06/07(土) 20:36:22
>>53102
ワインぐびぐび飲んでたクセにね
写真も残ってるよ
今さらチンマリしたって遅いんだよ+62
-2
-
53113. 匿名 2025/06/07(土) 20:37:45
>>53058
周りを黒くする手法は公式の写真として世界的にはありなのかな。日本じゃあまり使われないし「キリトリ」するよね。海外はもっとアバウトなのかな。+27
-1
-
53114. 匿名 2025/06/07(土) 20:38:25
>>53109
追記。お花ないから別の場所かな。失礼しました。+26
-0
-
53115. 匿名 2025/06/07(土) 20:38:42
>>52877>>53055
確かに虐められている人の肩幅じゃないけど、貧相なおばあさんが着飾って気取っていてみっともないわ。プロトコルを重要視するエリザベス女王にとって、🍽️はバッグを揺らしてでも視界から外したい存在だったのですね。
🍽️は自分よりも優れていたり若く美しい方が大恥かくのを見たかったんでしょう。しかしながら大輪の花のようなダイアナ妃の美しいドレスの着こなしとアクセサリーのセンスが話題になったのは誤算だから、この後は嫉妬でヒス起こしてそう。
優しい当時の昭和天皇と浩宮様がダイアナ妃のお隣で良かったと思われます。+65
-0
-
53116. 匿名 2025/06/07(土) 20:38:52
>>53023
竹田さんに回ってくる可能性ってほぼゼロなのに何を張り切ってたのか謎が深まりました+50
-1
-
53117. 匿名 2025/06/07(土) 20:38:59
>>53102
この手は加てるのかな?
なんか違和感ある+14
-0
-
53118. 匿名 2025/06/07(土) 20:39:05
>>53109
切り抜きみたいにされてるのは斬新だね。+33
-0
-
53119. 匿名 2025/06/07(土) 20:39:35
>>53111
日本人はまだその辺文化的でしょ。焚書坑儒もないからまだいけると思ってるんだけどな。どう?みんなもうギリギリのところなのかな?日本人の底力考えたらまだ耐えれるとは思うけど、そこら辺割りと他国に侵略されてもいつの間にか大和文化にまた戻ってくる気がするんだよなぁ。楽観的過ぎるかな…+1
-2
-
53120. 匿名 2025/06/07(土) 20:40:17
>>53109
隠されると知りたくなる
何があったんだろう?例えば🏺の団体名とか?+64
-0
-
53121. 匿名 2025/06/07(土) 20:41:03
こちらどうでしょうか
Brazil Japan Princess | World | hjnews.comwww.hjnews.comJapan's Princess Kako of Akishino attends a meeting at the Bunkyo Brazilian Society of Japanese Culture in Sao Paulo, Friday, June 6, 2025. (AP Photo/Andre Penner)
+1
-0
-
53122. 匿名 2025/06/07(土) 20:41:18
>>53112
んだんだ
数年前までヘソ出して踊ってたし+21
-0
-
53123. 匿名 2025/06/07(土) 20:41:20
>>52855
まあまあいい値段よね
信じられない+11
-1
-
53124. 匿名 2025/06/07(土) 20:41:23
>>53023
ケケ田さんの皇族の血なんて無果汁レベルまで薄まっているんじゃない?+24
-0
-
53125. 匿名 2025/06/07(土) 20:41:26
>>53045![比較されがちなこと]()
+3
-109
-
53126. 匿名 2025/06/07(土) 20:42:14
>>53079
>(竹田恒泰氏の皇位継承資格順位は)煩悩の数やんって笑いました。
おっしゃるとおりです。
竹田恒泰氏の皇位継承資格は108位ですから。
(ご指摘のように亡くなった方や産まれた子もいるから、少し順位は
変わっているでしょうが。
竹田氏の皇位継承資格順位は100位台でしょうね)
竹田氏は煩悩の塊にみえます。
・殿下とよばれたーい
(台湾で親王を詐称)
・でも高飛車な女王は嫁にしたくなーい
曾祖父さん(明治天皇の皇女を嫁にして尻にしかれた)
みたいな悲惨な結婚生活はおくりたくなーい
(・・・縁談相手の❄さんも竹田氏と結婚したく
なかったので、お互い様です)
・美人とつきあいたーい
(華原朋美さんとAKBの元メンバーとの二股交際疑惑
騒動おこす)
+19
-0
-
53127. 匿名 2025/06/07(土) 20:42:27
>>53116
誰かに唆されて乗ったらいけない船に乗っちゃったとか+15
-1
-
53128. 匿名 2025/06/07(土) 20:42:59
>>53116
この人は天皇になるのではなくて皇族になりたいのです。皇族になりさえすればそこから生活全てがかわります。また天皇陛下にもお近づきになれるし何なら自分の持論を展開することも出来ると思ってるのです。
一般市民の立場だといくらご先祖が皇族であっても何の意味もないということを一番よく分かっているのは実はこの人だと思っています。普通は目の前の人生をどうするか考えるのですが、その頭と金がない人間は権威にすがるしかない惨めな人生を送るしかないんです。+23
-0
-
53129. 匿名 2025/06/07(土) 20:44:13
>>52987
創業30周年w+9
-0
-
53130. 匿名 2025/06/07(土) 20:44:25
>>53088
除草剤撒いた方が早いかも+4
-1
-
53131. 匿名 2025/06/07(土) 20:44:27
>>52855
公務員の独身女なんですがきついですわ。同級生の中で一番給料安いって言うのに…+17
-1
-
53132. 匿名 2025/06/07(土) 20:44:34
>>52706
52659です
確かにあんな醜聞と並ばなくて良かったとは思うんだけど
前日の夜中までは普通に出てた敬宮さまの記事が、18日の昼頃見たらトップどころか芸能カテにも無いのに、Yahoo!で「愛子さま」で検索すると能登訪問の記事がYahoo!に上がっているのを知るという、何だか薄ら寒いような怖さを感じたのよ
あの時皆さんはどうでした?+13
-0
-
53133. 匿名 2025/06/07(土) 20:45:11
>>52618
あいさつ毎回ほとんど同じやんw+8
-0
-
53134. 匿名 2025/06/07(土) 20:45:18
>>53001
ポケットに手を入れてるんじゃない?+4
-0
-
53135. 匿名 2025/06/07(土) 20:45:19
>>53109
目の周りを赤くするメイクは止めなさい。遊女に見える。+80
-0
-
53136. 匿名 2025/06/07(土) 20:45:49
>>53004
皇后陛下が出席しなかったのなら、ティアラを付けるかどうかは🥗の判断だったかもしれないね
こういう記事を見つけました
>元々は、サウジアラビアのファハド皇太子(当時)からウエディング・ギフトとして贈られたアスプレイ(Asprey)のジュエリーを使い、トランスフォームしたチョーカーなのだが、晩餐会ではヘッドアクセサリーとして着用された。
たまたま、このアクセを持ってきてたから良かったけど、ティアラがなかったのなら国際問題になるとこだったんじゃない?
チョーカー版の写真も貼っておきます
![比較されがちなこと]()
+39
-0
-
53137. 匿名 2025/06/07(土) 20:45:53
>>52525
この御一家のお人形発売して欲しい。
本当に素敵💓+15
-1
-
53138. 匿名 2025/06/07(土) 20:46:10
>>52987
秋物一掃セールwとな+18
-1
-
53139. 匿名 2025/06/07(土) 20:46:26
>>48599
去年も皇后様の着てたやつ買おうと思ってたら、全サイズ売り切れだった😭😭😭
くそー!
増販や再販あるかな??+18
-0
-
53140. 匿名 2025/06/07(土) 20:46:28
>>52960
やっぱり口が怖い+10
-0
-
53141. 匿名 2025/06/07(土) 20:47:03
>>53125
>私がベストと思っているのは特別養子縁組。
つまり岸前防衛大臣のように赤子のうちに縁組を行う
ことです by 竹田恒泰氏
赤子のうちの養子縁組って・・・赤ちゃん本人の意志は無視ですか?
ふざけんな!といいたい。
竹田さん、ご自分の長男(まだ赤ちゃんらしい)を既存宮家の
養子に差し出すというんですか?
そもそも旧宮家養子案は憲法と皇室典範違反です。
憲法では門地による差別を認めていないし、皇室典範は
天皇と皇族は養子をとれないと規定。
竹田さん、本当に憲法学者なんですか?
憲法に違反するプランを推すなら、憲法学者を名乗る資格なし!
+72
-0
-
53142. 匿名 2025/06/07(土) 20:47:43
>>53023
ケケが🗿を叩いてたのは、「僕ちんが皇族になれなくて、余所者であるKKが皇族になるなんて許せな〜い」という嫉妬からだと思う。+27
-0
-
53143. 匿名 2025/06/07(土) 20:47:47
>>52847
子育て支援金を捻出するために国民全員の負担が増えるだけで、独身だけ税金が増えるわけではないよ
来年4月開始「独身税」子ども・子育て支援金制度!一人あたりの徴収料はいくらなのか…恩恵を受ける人はどんな恩恵うけられる?(みんかぶマガジン) - Yahoo!ニュースnews.yahoo.co.jp皆さんは、来年4月に「独身税」がスタートすることをご存じだろうか。子ども・子育て支援金制度に基づくもので、1人あたり月額250~450円が医療保険に上乗せされる形で段階的に徴収される。政府は「全世
+8
-1
-
53144. 匿名 2025/06/07(土) 20:48:08
>>53123
とりすぎよね!この物価高によ!撤回してほしい
これ離婚したら取られるのかしら?なんか嫌な税金だわ+19
-1
-
53145. 匿名 2025/06/07(土) 20:48:11
>>51525
サムネに着物と日の丸と桜を使っている人は用心して見てる。
ゴボウの奥野なんかもその類い。+9
-0
-
53146. 匿名 2025/06/07(土) 20:48:12
>>52405
眞子は子供に抱きついて逃げられたから、佳子はお年寄りに抱きつけば逃げられないとアップデートしたか?+16
-0
-
53147. 匿名 2025/06/07(土) 20:48:13
>>52372
ナニこの踏み台?
30歳の🦌に踏み台必要?
全く関係ないけど、我が家の猫が年とってきたので、最近猫トイレの入り口に踏み台設置したところです。
+35
-0
-
53148. 匿名 2025/06/07(土) 20:49:06
>>53100
あ、一応全世帯というか全員からとるんだけど、結局子どもいる人は自分が徴収されても問題ないじゃん?自分の子どもに還元されるから。
ってことは子どもがいない人は、自分が納めた税金を他人の子どもの対策に使われるから実質「独身税」と呼ばれてるというわけ。独身の人だけに係るのではなさそうだよ。
別に子どものために税金使ってくれるの嬉しいんだけどさ、それなら新たに採るんじゃなくて今の財源の中で無駄を省いて子どもに掛ける税金を捻出して欲しいよね。。。+63
-1
-
53149. 匿名 2025/06/07(土) 20:49:08
>>53143
もっと最悪なのね
所得のある年寄りからも取るのかな?+9
-0
-
53150. 匿名 2025/06/07(土) 20:49:39
>>53117
ブラジルの🦌の指は皆長くしてるみたいよ+8
-0
-
53151. 匿名 2025/06/07(土) 20:50:10
>>53148
この物価高にまた増税じゃん!もう○ね!って言いたくなるわ政府に+55
-0
-
53152. 匿名 2025/06/07(土) 20:50:16
>>53017
えぇ...
三年後には
ロイヤルじゃない一般人として
自費で行ってくださいよ、、、って思いました+69
-0
-
53153. 匿名 2025/06/07(土) 20:50:17
>>53141
岸さんは、伯父夫婦という極めて近い親族の養子になっただけだよ
あと、一般人と皇室を同じように考えてはならないよ
+44
-0
-
53154. 匿名 2025/06/07(土) 20:50:18
>>51491
3年前の動画だね。
深田、この3年で老けたわ。+4
-1
-
53155. 匿名 2025/06/07(土) 20:50:27
>>53106
ある意味老けないよね(褒めてない)+12
-1
-
53156. 匿名 2025/06/07(土) 20:50:38
>>53139
こちらでしょうか。私も欲しい。![比較されがちなこと]()
+43
-0
-
53157. 匿名 2025/06/07(土) 20:50:58
>>53109
口…+70
-0
-
53158. 匿名 2025/06/07(土) 20:51:14
>>53034
一旦決まったものを廃止するのは日本だと10年は余裕でかかるよ。日本は大統領制のスタッフ制じゃないからね。+28
-0
-
53159. 匿名 2025/06/07(土) 20:51:20
>>53141
ケケは修士も博士も持ってない、ただの学士だよ。
大学で憲法学を学んだ。ただそれだけ。
よって、憲法学者ではない。
八幡和郎も歴史学領域で修士や博士を持ってないのに歴史学者を名乗っちゃっるし、🍂に連なるヒトヒトは学歴へのコンプレックスが凄まじいね。+54
-0
-
53160. 匿名 2025/06/07(土) 20:51:25
>>52680
逆に、養子縁組って双方の合意が必要よね?
皇族で受け入れる宮家はあるのでしょうか?
受け入れるということは陛下のお気持ちに反した、もしくはいくら皇室典範許したからといっても陛下の血筋を軽くみる逆賊よね?+12
-0
-
53161. 匿名 2025/06/07(土) 20:51:27
>>53148
なるほど!ありがとう。
ちゃんと読んでなかったわ。+7
-2
-
53162. 匿名 2025/06/07(土) 20:51:47
>>53144
その税金でお米買えるよね…
税収過去最高なのにまだ足りないって議員と役人が無能だからじゃない?
責任とってから増税しなよ+28
-1
-
53163. 匿名 2025/06/07(土) 20:52:01
>>53109
デコルテが、醜い。化粧はこいし、水商売のヒトみたい、日本人として恥ずかしい。+115
-1
-
53164. 匿名 2025/06/07(土) 20:52:18
>>53130
ブラジルにいたら撒きたいわ
残念ながら行けないから日本から育たないように念を送るわw+5
-1
-
53165. 匿名 2025/06/07(土) 20:52:20
>>52991
誘われて行けるイギリス戴冠式とベトナムは両陛下の訪問だったしオーストリアは敬宮様の訪問だったはず。トルコも?
敬宮様もケニアの方にお誘い頂いてた。
細かい事情はよくわからないけど敬宮様の初訪問はケニアかと思ってたわ。
戴冠式やベトナムの時順番がどうとか言ってた。
今回来てるんだから次は別の人じゃないとおかしい。
とはいえもうブラジルはロンダリングのイメージがべっとりついてしまったから清浄な方はいいかな。杉子とか?それもみたくはないな。
+24
-0
-
53166. 匿名 2025/06/07(土) 20:52:28
>>53106
韓流ベテラン女優、83歳で化粧品モデルに初抜擢(KOREA WAVE) - Yahoo!ニュースnews.yahoo.co.jp【04月20日 KOREA WAVE】韓国を代表するベテラン女優キム・ヘジャ(83)が、デビュー以来初めて化粧品ブランドのモデルに起用された。 キム・ヘジャは最近、バイオ企業「FUGENBIO」の
韓国は嫌いだけどこの人はすごいと思う+5
-17
-
53167. 匿名 2025/06/07(土) 20:52:36
>>53127
ヤバいとこからお金借りてて自転車操業って話見たことあるけどどうだろう+18
-1
-
53168. 匿名 2025/06/07(土) 20:53:07
>>52782
ダイアナの若さ、美しさ、当時の世界的な人気、名門貴族の生まれと
そういう存在にも嫉妬メラメラしてたんかい!?
凄いね~(呆れ)+53
-2
-
53169. 匿名 2025/06/07(土) 20:53:28
>>53164
なんか昔念で壺が割れたって聞いたことがあるよw+6
-0
-
53170. 匿名 2025/06/07(土) 20:53:38
>>53148
横。
この案って子供が成人(大学生とか社会人とか)した世帯は還元され
ないわけですよね?
取られ損というか。
+27
-0
-
53171. 匿名 2025/06/07(土) 20:53:58
>>53099
法則で何か起きる(言霊)+19
-0
-
53172. 匿名 2025/06/07(土) 20:54:10
>>53167
👹の弟ともビジネスやってなかった?+11
-0
-
53173. 匿名 2025/06/07(土) 20:54:44
>>53166
日本には草笛光子さんがいるわ〜91歳![比較されがちなこと]()
+61
-2
-
53174. 匿名 2025/06/07(土) 20:55:04
>>53109
このワンピースも上半身サイズが合ってないね。
それとコイツのデコルテどーなってんの?+88
-1
-
53175. 匿名 2025/06/07(土) 20:55:07
>>53168
アテクシ病が出ちゃったのね+22
-0
-
53176. 匿名 2025/06/07(土) 20:55:07
>>53171
桜の木に落雷とかねw+6
-0
-
53177. 匿名 2025/06/07(土) 20:55:18
>>52828
エロで注目を集めるのは
お家芸なんです
![比較されがちなこと]()
+62
-1
-
53178. 匿名 2025/06/07(土) 20:55:48
>>53174
息を吸って止めてるんでしょw+31
-1
-
53179. 匿名 2025/06/07(土) 20:57:58
日テレのシャカレキというミニ番組で、突然両陛下の結婚の話題が出てびっくりした!!雅子さま美しかった〜!+21
-0
-
53180. 匿名 2025/06/07(土) 20:58:17
>>53174
このヒトヒト下半身ふくよかで上半身は貧相ね。
満遍なくふくよかなアネの方がバランスいいのかもね。+39
-0
-
53181. 匿名 2025/06/07(土) 20:58:23
>>53121
追加![比較されがちなこと]()
+2
-18
-
53182. 匿名 2025/06/07(土) 20:58:35
>>53125
ケケ田、復帰したいどころか天皇になっても良いですよと言ってるじゃん。何考えてるんだろ![比較されがちなこと]()
+65
-2
-
53183. 匿名 2025/06/07(土) 20:58:36
+1
-54
-
53184. 匿名 2025/06/07(土) 20:59:02
>>52998
ラグ?カーペットに対して、4人でこんなに斜めに並ぶことってある?
4人の足元の位置はほぼ一直線ですよね。
+0
-0
-
53185. 匿名 2025/06/07(土) 20:59:03
>>53165
日本のブラジルブンキョウのホームページ見てきたら🦌さん前面に載ってた
色々読むと、三笠の名前も出てきてたから三笠の時からのつながりっぽい
転載禁止だから貼らないしリンクもやめとくけど興味ある人は見てみて
敬宮様は行かなくていいかも+27
-0
-
53186. 匿名 2025/06/07(土) 20:59:31
>>52953
加工のブラジル旅行が発表された頃だったか、ブラジルに旧宮家の血を引く男性がいるから、旅行がてらのお見合いじゃないか?とネットで見たような
実際にそんな男性がブラジルにいるの?+21
-0
-
53187. 匿名 2025/06/07(土) 21:00:51
AI坊ちゃんとか、気持ち悪いよ。
そんなに隠したきゃ出てくるな。
都合のいい特権だけ貪るなって。+14
-0
-
53188. 匿名 2025/06/07(土) 21:01:05
>>53143
そんなにお金ないのになんで宮家や議員が外遊してるんだか+28
-1
-
53189. 匿名 2025/06/07(土) 21:01:21
>>53179
そろそろ結婚記念日ですね+18
-0
-
53190. 匿名 2025/06/07(土) 21:01:32
>>53177
あー殿下時代w+19
-1
-
53191. 匿名 2025/06/07(土) 21:01:33
>>53182
これは前から言われてるよ。ここでも当時話題になってた。+37
-0
-
53192. 匿名 2025/06/07(土) 21:01:59
>>53083
でも株の運用とかやってたよね。震災の時に東電株を持ってたけど暴落して野○証券が損失補填したとか言われてた。+25
-0
-
53193. 匿名 2025/06/07(土) 21:02:08
>>53181
えらい暗い金屏風やね。+25
-0
-
53194. 匿名 2025/06/07(土) 21:02:28
>>53182
天皇になってもいい by 竹田恒泰氏
竹田さんの皇位継承資格順位は108位ですよ?
皇別摂家の男系の末裔より皇位継承資格順位が低いのに。
+54
-0
-
53195. 匿名 2025/06/07(土) 21:02:29
>>53160
❄️がやる気満々じゃん+5
-0
-
53196. 匿名 2025/06/07(土) 21:02:32
>>53184
サムは一方後ろに下がっていつもの貞淑な妻を演じてるよw半身隠れの術で+9
-0
-
53197. 匿名 2025/06/07(土) 21:03:40
>>53192
たしか🍵が文句言ったんだよね
投資をする資格なしw+15
-0
-
53198. 匿名 2025/06/07(土) 21:03:44
>>53183
華子さま、今年85歳![比較されがちなこと]()
+78
-0
-
53199. 匿名 2025/06/07(土) 21:03:50
>>53085
水面下ニュースさんがコメントしていたけど、何か一部の人達から?バカ子の事を「カキさま」って呼んでるとか何とか…『アッチ』の方の対象としてワイワイしてるのかね〜。…まあこのようなショットや、腿の間からショーツが見えそうな物を拾う時のあのショット。敬宮様や承子様なら、あらゆる事を想定した装いでお出ましになるよね〜。
+43
-2
-
53200. 匿名 2025/06/07(土) 21:03:59
>>53148
子供が欲しかった小梨おばさんは不妊治療に補助金無しの頃だったし、、
なんだか踏んだり蹴ったりだよ
ごめんね散々子供自慢聞かされて来た身としてちょっとだけ愚痴りました+45
-0
-
53201. 匿名 2025/06/07(土) 21:04:17
>>53174
亀みたいだね+44
-0
-
53202. 匿名 2025/06/07(土) 21:04:24
>>53109
目が死んでるし、口が怖い+71
-0
-
53203. 匿名 2025/06/07(土) 21:04:51
>>52554
いつも思うんだけど、
なんで結婚の裁可を下したのかしら。
キリスト教だし新平民疑惑だし、いくら息子がワガママ言っても、国家のためを優先してこられた方のはずなのに。+34
-0
-
53204. 匿名 2025/06/07(土) 21:05:12
>>53197
投資の意味、わかってるのかな?
嫁が平民だとか、自業自得なことばかりなのに、文句つけるね+22
-0
-
53205. 匿名 2025/06/07(土) 21:05:23
>>53109
顔から下は美智子さんじゃないの?
合成かな?+29
-1
-
53206. 匿名 2025/06/07(土) 21:06:00
>>53198
華子さまは立ち姿とおじぎが皇族女性で一番美しいと思います。生まれながらにお姫様というのがあるし、昭和の時代に皇室にお嫁入りしているので昭和の薫陶を受けてるんだなと思いました。+57
-0
-
53207. 匿名 2025/06/07(土) 21:06:11
>>53181
薄暗くて凶々しい
通常運転やね+30
-0
-
53208. 匿名 2025/06/07(土) 21:06:11
>>53177
私、👹のジョギングだと正面からのこのショットが忘れられないわ![比較されがちなこと]()
+39
-0
-
53209. 匿名 2025/06/07(土) 21:06:12
>>53204
器のちっちぇー男+15
-0
-
53210. 匿名 2025/06/07(土) 21:06:32
>>53082
>その当時はミテコはそこまで高い評価じゃなかったような気がするよ
そうですねー
昭和天皇が御存命でしたし 側近の侍従達もいました
あと🇬🇧イギリス側は茶皿のアテンドを望んでなかった可能性があります
当時は浩宮様、勢津子様、喜久子様、髭の殿下と信子様などがアテンドしていましたし 茶皿は東宮御所訪問の時くらいでしたね
茶皿は当時のウェールズ大公ご夫婦のカウンターパートではなかったと見るのが自然ですね+31
-0
-
53211. 匿名 2025/06/07(土) 21:07:13
>>53208
これローファー履いて走ってるんだよね
足臭そう+34
-0
-
53212. 匿名 2025/06/07(土) 21:07:17
>>53063
いや、ちゃんとした着物でもないような。
肩辺りのボカシの部分とか、伝統的な染めの感じがしないのだが。
ネットに大量の画像が出回る様になっても、一向にカラー写真が出て来ないのが不思議。あの時代ならカラーが普通なのに。+28
-0
-
53213. 匿名 2025/06/07(土) 21:07:43
>>52858
ゴミ売の女性記者でしたっけ?+13
-0
-
53214. 匿名 2025/06/07(土) 21:07:45
>>53181
全員日本人?日系人?現地大使館とか利権関係者ばかりがこの会に付き合ってるかしら+29
-0
-
53215. 匿名 2025/06/07(土) 21:07:47
>>53166
整形ナシなわけない+9
-1
-
53216. 匿名 2025/06/07(土) 21:07:57
>>53109
どこがダイアナだっ+61
-0
-
53217. 匿名 2025/06/07(土) 21:08:07
>>53209
他責思考が甚だしいね+21
-0
-
53218. 匿名 2025/06/07(土) 21:08:19
>>52847
独身税って「子ども・子育て支援金」のことでしょう?
政治家が威張って提案してますけど…出産費用全額無料、子供の医療費、学費…子育てにお金がかからなくなった分は国民が払ってますからね。
独身だけでなく既婚者も社会保険料から自動的に徴収されるけど、子育てしてる家庭にだけ還元されて恩恵を受けられるのよね。
独身も対象年齢が子供がいない家庭も恩恵はないから独身税と揶揄される…
妊娠や出産時の支援強化、出産育児一時金の引き上げ、子育て世帯への住宅支援なども予定されています。従来からある児童手当についても拡充がされていきます。このように、子育て支援金は単なる財政的な支援を超えて、家庭の育児における必要なサポートとなることが期待されています。
2026年4月以降に実施される子ども・子育て支援金は、多くの子育て世代に恩恵をもたらすことが期待されています。例えば、従来の児童手当が拡充され、所得制限が撤廃されたり、支給対象が高校生まで延長されたことが挙げられます。さらに、第三子以降に対して特別支援金が支給されることから、家計に対する助けが強化される方向にあります。子ども1人あたり約206万円から約352万円まで増加することになります。+6
-2
-
53219. 匿名 2025/06/07(土) 21:08:49
>>53217
30年も天皇だったなんてね
時間を返して欲しいわ💢+48
-0
-
53220. 匿名 2025/06/07(土) 21:09:08
>>53167
ケケ田、三浦ルーリー旦那に金貸してなかった?
三浦ルーリー界隈はDSじゃん。
ケケ田もルーリー旦那も太陽光パネルに噛んでるし。
金儲けにゃ、グローバリストと裏で手をつなぐと。+18
-1
-
53221. 匿名 2025/06/07(土) 21:09:18
>>53215
整形してもアレレな人いるからねえ…
整形できれいになるのはマシな容姿の人では?+6
-1
-
53222. 匿名 2025/06/07(土) 21:11:08
>>53206
華子さまは乗馬をしっかりなさってたこともあって姿勢が素晴らしいですよね。英国のアン王女しかり。格好良い姫さまの一人だと思います。![比較されがちなこと]()
+43
-0
-
53223. 匿名 2025/06/07(土) 21:11:13
>>53181
日の丸が・・・+10
-0
-
53224. 匿名 2025/06/07(土) 21:11:27
>>53109
どこのおばあちゃんかと思ったら、カコチン…
Σ(゚Д゚)+44
-0
-
53225. 匿名 2025/06/07(土) 21:11:40
>>53218
普通に消費税減らせば満遍なく暮らしが豊かになるのにね
そうすれば結婚もするし子供も産むよね
支援があるから子供を産もうと考える層なんて将来まともな納税者になるのか疑問+20
-2
-
53226. 匿名 2025/06/07(土) 21:12:23
>>53182
公安の監視対象ですね+40
-0
-
53227. 匿名 2025/06/07(土) 21:12:26
>>53174
マコさんのおさがり?
彼女のおさがりじゃブカブカだろろw+34
-0
-
53228. 匿名 2025/06/07(土) 21:12:50
>>53206
昭和の両陛下、勢津子さまや喜久子さまにとても可愛がられたそうですね
素直だし、教え甲斐があったことと思います+27
-0
-
53229. 匿名 2025/06/07(土) 21:13:02
>>52877
上げてくださった動画のロングバージョンです
Princess Diana in Tokyo, Japanyoutu.beIn a glamorous blue dress for a banquet at the Imperial Palace in Tokyo, Japan. May 12, 1986.
+11
-0
-
53230. 匿名 2025/06/07(土) 21:13:16
>>52961は電源ケーブルが消されている方ですね
わざわざ消すのも指示があったのでしょうか
ケーブル付きはこちらです![比較されがちなこと]()
+73
-0
-
53231. 匿名 2025/06/07(土) 21:13:24
>>53199
母親の躾のレベルが知れるよねw+40
-0
-
53232. 匿名 2025/06/07(土) 21:13:40
>>53082
ミテコの「高い評価」とやらは平成になってから自分で作り出した
ものじゃないかしら。
そうでもしないと誰も自分の望むイメージで見て語ってくれないと
思ってたのかも。全部何もかも嘘っぱちで誇大広告の極致だけど、
ちーともミジメだとは思わないのが不思議なんだわ。+50
-0
-
53233. 匿名 2025/06/07(土) 21:14:00
>>53177
これってパンツはコールテン?(古過ぎる)+36
-0
-
53234. 匿名 2025/06/07(土) 21:14:03
今の日本政府って日本人56しにかかってるよね+19
-0
-
53235. 匿名 2025/06/07(土) 21:14:05
石破首相のトピ🤣これはもしかしてあの人?
群馬県って聞くとなんか怖い人たくさんいそうみたいなところがあってですね、あと女性強そうみたいな。引いちゃうとこあるんですけど
石破総理「群馬と聞くと怖い人がたくさんいそう」と発言 その後「差別の意識は全くない」と釈明girlschannel.net石破総理「群馬と聞くと怖い人がたくさんいそう」と発言 その後「差別の意識は全くない」と釈明 石破総理 「我々西日本の人間は、北関東って聞いただけで何か怖そう。群馬県って聞くとなんか怖い人たくさんいそうみたいなところがあってですね、あと女性強そうみ...
+16
-0
-
53236. 匿名 2025/06/07(土) 21:14:14
>>53222
学習院の馬術部だったんですよね
かっこいい+15
-0
-
53237. 匿名 2025/06/07(土) 21:14:28
>>53177
胸に目がいきがちだけどオマタの食い込みもすごいよね
上から下までヨレヨレ
これが皇后になるなんてあり得ないでしょ+51
-0
-
53238. 匿名 2025/06/07(土) 21:14:50
>>53235
群馬の女性はめちゃくちゃ強いってよく聞くよね+9
-0
-
53239. 匿名 2025/06/07(土) 21:14:53
>>53200
53148ですが、私は正真正銘の独身なんですよ。この先も予定は限りなくゼロなんですけどw
だからいろんなお考えの人がいるのは分かります。
なので、いろんなお気持ちをお持ちの人がいる中で何故わざわざ新設するんだろうなと思って、今ある財源から捻出できるはずなのに何故しないのかな?と最後に書いてみました。
何でもかんでもそうですが、基本的人権とかなんとか言うなら、先ず、専業主婦を優遇したり子持ち世帯を優遇したりとか分かりやすくアピールするためにやるんじゃなくて、先ずは全部更地にして、一人一人から税金を徴収して、優先順位の高い(緊急性のある)ものから順番に政策を実行するしかないと思うんですよね。それこそ政治家と一般人を分けたりせずに。
もし優先順位がきちんとしているならば、今の日本では外国人の優遇政策なんていうものは絶対に上位にこないはずなんです。家で殴られるしかない子ども達や実父にレイプされる娘とか、または難病指定から外れている難病にかかっている患者とか、自立支援が足りていない障害者とか、救うべき人は本当はほかにちゃんといるんですよね。だけど政治家は票田にならないものにスポットを当てない。
言うなれば今の日本は政治家が一番楽な商売ということです。日本人が賢く我慢強いから馬鹿でも政治家になれてしまう。海外だったら冗談抜きで暗サツされている政治家いると思いますよ。どうなっちゃうんでしょうねこの国。
話が横に逸れた上、熱くなってしまい申し訳ありませんでした。+40
-0
-
53240. 匿名 2025/06/07(土) 21:15:17
>>53199
実際ヤフコメに出没する希少な🦌ファンもそういう目線の人が多いね 性的対象+37
-0
-
53241. 匿名 2025/06/07(土) 21:15:17
>>53225
学費を無償にした結果、親への感謝もない子供が増えて
凶悪事件が増えましたし+5
-0
-
53242. 匿名 2025/06/07(土) 21:15:21
>>53211
踵がすり減って傷んで
かえって不経済だよね+17
-0
-
53243. 匿名 2025/06/07(土) 21:15:51
>>53233
笑いました。ありがとう。コールテンなついw+27
-0
-
53244. 匿名 2025/06/07(土) 21:15:57
>>53211
ヨレヨレのTシャツとジャージ、靴も古いから
華子様が一式買いそろえてあげたら、ジョギング
やめちゃったんだよね。+29
-0
-
53245. 匿名 2025/06/07(土) 21:16:15
>>53207
ペルーの時も薄暗いとこでやったよね+8
-0
-
53246. 匿名 2025/06/07(土) 21:16:59
>>53178
気を抜くとアゴ無しになるから顔にめいっぱい力入れてるよね
そのせいで首筋と鎖骨が浮き出てしまうんだろうな+34
-0
-
53247. 匿名 2025/06/07(土) 21:17:12
>>53233
パイルにも見える
パジャマ??+8
-0
-
53248. 匿名 2025/06/07(土) 21:17:13
>>53203
やっぱりGHQ絡みかなと思う。
拒否したら、日本への食糧や資源の輸出をストップして飢えさせるぞ、とか。
御自分達だけなら、どんな目に合わされても耐えられたでしょうけど。+34
-0
-
53249. 匿名 2025/06/07(土) 21:17:17
>>53181
これ見る限り周りを黒塗りする意味がわからないね+17
-0
-
53250. 匿名 2025/06/07(土) 21:17:50
>>53235
転勤族でグンマーとサイタマ県北の県境住んでましたが「かかあ天下と空っ風」というのはよく地元のおばちゃんから聞きました。+14
-0
-
53251. 匿名 2025/06/07(土) 21:18:34
>>53218
日本の人口が少なくなってるから子どもも減るでいんだけどね。どんどん縮小して1億2千万人を維持する政治・行政から8千万人を維持する政治・行政に移行すればいいだけなんだけどな。そうすると自分たちがおまんま食い上げになるからやらないのはまぁ分かるんだけど、とりあえず政治家は今の2分の1でも日本回ると思います。+77
-0
-
53252. 匿名 2025/06/07(土) 21:18:34
>>53230
近い将来起こる事を暗示。
日本ではできないから海外でビリビリ?+57
-0
-
53253. 匿名 2025/06/07(土) 21:18:47
>>53058
動画ニュースがあったので検証できるかな?
佳子さまブラジル2日目、日系社会の中心機関の文協をご訪問 Segundo dia da Princesa Kako no Brasil ????Visita à Bunkyo.www.youtube.com佳子さまが6日、文協をご訪問 No dia 6, Sua Alteza Princesa Kako visitou a Sociedade Brasileira de Cultura Japonesa e de Assistência Social (Bunkyo). まずは移民史料館をご視察 Começou com uma visita ao Museu Histórico da Imigração Japonesa. 第1回...
+6
-0
-
53254. 匿名 2025/06/07(土) 21:19:00
>>53221
この場合、顔面改造よりもアンチエイジング整形の方という意味です。+15
-0
-
53255. 匿名 2025/06/07(土) 21:19:03
>>53249
みる人がみるとヤバい関係者が写ってるのかも。過去に陛下の時には🍘関係者いたらしく叩いた人がいるらしい。+33
-1
-
53256. 匿名 2025/06/07(土) 21:19:10
陛下、この頃からすでに聡明でいらっしゃる。
![比較されがちなこと]()
+82
-0
-
53257. 匿名 2025/06/07(土) 21:20:58
>>53237
>アタシはいずれコーゴーになる人です。
あなたたち平民の指図は受けません!
と坊ちゃんの療育チームに言い放ったらしい(テーミス記事より)
平民以下なのにw+83
-0
-
53258. 匿名 2025/06/07(土) 21:21:17
>>53246
きばってるように見えるんだよね💩+13
-1
-
53259. 匿名 2025/06/07(土) 21:21:57
>>53166
いかにも韓国人な方
指が短いね+2
-1
-
53260. 匿名 2025/06/07(土) 21:22:00
>>53239
まるっきり横ですがおっしゃる事よくよくわかります。
そのまま政治家に読ませたいくらい。
どう考えてもやりくりがおかしいんです。+20
-1
-
53261. 匿名 2025/06/07(土) 21:22:07
>>53256
日本の奇跡✨🎌+19
-0
-
53262. 匿名 2025/06/07(土) 21:22:16
>>53160
常陸宮家と高円宮家と信子さまはもし打診されても断りそう+5
-1
-
53263. 匿名 2025/06/07(土) 21:22:36
>>53027
バイドゥのメディアプラットフォームと
出てきますね。中国ですね。
【百家号】とはどういう意味ですか? - 中国語 (簡体字)に関する質問 | HiNativeja.hinative.com【ネイティブが回答】「百家号」ってどういう意味?質問に3件の回答が集まっています!Hinativeでは"中国語(簡体字)"や外国語の勉強で気になったことを、ネイティブスピーカーに簡単に質問できます。
バイドゥの個人向けメディアプラットフォーム「百家号」:DAUは1億6000万に達し、広告収入も160%増 | 36Kr Japan | 最大級の中国テック・スタートアップ専門メディア36kr.jpバイドゥ(百度)が提供する個人向けメディアプラットフォーム「百家号(Baijiahao)」は、「2019年百科号創作者盛典」において…
+14
-0
-
53264. 匿名 2025/06/07(土) 21:22:52
>>53252
落雷するのかも⚡️+18
-0
-
53265. 匿名 2025/06/07(土) 21:23:10
>>53254
ミテコさんやキーさんもアンチエイジングの整形やってるだろうけど、その甲斐なくない?
やっぱり素材次第だよ+9
-1
-
53266. 匿名 2025/06/07(土) 21:23:23
+56
-0
-
53267. 匿名 2025/06/07(土) 21:23:57
>>53236
今も昔も凛々しい![比較されがちなこと]()
+39
-0
-
53268. 匿名 2025/06/07(土) 21:24:11
>>52702![比較されがちなこと]()
+26
-1
-
53269. 匿名 2025/06/07(土) 21:24:23
>>53251
人口減ってるのに議員数が減らないっておかしいですよね
国の状況も全然良くならないのだからダメな議員は
クビにしなくちゃいけないと思います。+77
-0
-
53270. 匿名 2025/06/07(土) 21:25:09
>>53192
横だけど正田家の投資の損失補填したために山○証券潰れたというまことしやかな噂が、と過去トピで見ましたが…なんかロシア関連の投資に飛び付いたと言われてたと思う。
当時を知る方がコメントされていた。+21
-0
-
53271. 匿名 2025/06/07(土) 21:25:17
>>52686
白人男性には自分から寄って行ってたよ+24
-0
-
53272. 匿名 2025/06/07(土) 21:25:30
>>53251
少子化なのは日本だけじゃないし、なんならアジアでも日本はマシな方って聞いたけど。
少子化(を止めるとは言ってない)といえばいくらでも予算が通ると思ってるんでしょうね+16
-0
-
53273. 匿名 2025/06/07(土) 21:25:43
>>53264
そうか、線繋げなくても可能ですものね+15
-0
-
53274. 匿名 2025/06/07(土) 21:25:52
>>53174
首の両脇の縦の筋と喉周りの横じわの感じが、うちの母と似てるわ
ちなみに母は🦌さんより39歳上の今年古希
母は年相応だけど、30歳でこのデコルテって🦌さん無理なダイエットでもしてるのかしら+46
-0
-
53275. 匿名 2025/06/07(土) 21:25:57
>>53235
カコさんをヨシヨシするあの鳥取県知事が言うなら、都道府県知事の言い合いで済むけど、あなたは日本の総理だよ。発言の中身がカコさん並みでフォローになってない。来てみないとわからない良さがあるで群馬のフォローしたつもりでいるwヤバいよ、カコさん並みのコメント力の人が日本のトップをやってる+13
-0
-
53276. 匿名 2025/06/07(土) 21:26:20
>>53208
これノーブラだよね。+19
-0
-
53277. 匿名 2025/06/07(土) 21:26:21
>>53199
何のことだろうと思ったら、よく吉本芸人が芸人に群がる女子のことを「カキタレ」って言ってたあれか。品位を損ねることしかしてないね+32
-2
-
53278. 匿名 2025/06/07(土) 21:26:28
>>53265
2人ともセルフケアが出来ないから
いくらお金かけても結果は出せないと思う+10
-0
-
53279. 匿名 2025/06/07(土) 21:26:38
>>53230
鯰に充電してる最中とかいわれてたよね😂+14
-0
-
53280. 匿名 2025/06/07(土) 21:26:49
>>53266
テーブルの上に花もないんだ
なんか殺風景だな+49
-1
-
53281. 匿名 2025/06/07(土) 21:27:30
>>52847
政府、もうやめてよ!!迷惑だわ!!出ていけ!!全員辞めろ!!!クビだ!!!
日本国民みんなの嫌がる事はするな、が分からないお前達が◯ソだわ。+45
-1
-
53282. 匿名 2025/06/07(土) 21:27:45
>>52995
いまは紙媒体の記事じゃなくてネットでリアルタイムにいろいろ知ることができるでしょ?🍂の日本での評判知らないっていうことはないと思うんだけど…
日本語だからやっぱり知らなかったりすることが多いのかな?+4
-0
-
53283. 匿名 2025/06/07(土) 21:28:01
>>53212
急にこの写真が出だして合成だとか話題になってた
この左の写真と柄違うし、右の振袖の手が人形みたい![比較されがちなこと]()
+41
-0
-
53284. 匿名 2025/06/07(土) 21:28:11
>>53266
でも、🦌さんのテーブルで切れば写らないよね
すごい不思議+37
-0
-
53285. 匿名 2025/06/07(土) 21:28:18
>>53006
ギリシャでも思ったけど、この人が外国行く度に日本人の現地での成果に乗っかって、感謝だけ受け帰っていく様を見せられて凄く不快+28
-0
-
53286. 匿名 2025/06/07(土) 21:28:36
>>53253
スクショしてみました![比較されがちなこと]()
+18
-0
-
53287. 匿名 2025/06/07(土) 21:28:37
>>53003
アルフレッド!?これは保守()は大丈夫なの?w+15
-0
-
53288. 匿名 2025/06/07(土) 21:28:42
>>53274
公務先のランチ残すんやで。ステーキ肉をほとんど残してたと当時調理を担当した人のコメントが出てた。
キーコは噂ではお昼は牛乳1杯でやせ我慢してるともいわれてたな。鯰が細い女が好みだからずっと太らないためにそうしてると2チャンネルに書かれてた。+28
-0
-
53289. 匿名 2025/06/07(土) 21:28:42
>>53199
あちらの記事で、カコでなくKakiさんと紹介されてたらしいよ。+45
-0
-
53290. 匿名 2025/06/07(土) 21:28:42
>>53255
ブラジルもSGIの支部があるし幹部がいたとか?+21
-0
-
53291. 匿名 2025/06/07(土) 21:28:57
>>53257
そこでプロに任せなかったからあの仕上がり…
愚かな母親だよ+28
-0
-
53292. 匿名 2025/06/07(土) 21:29:16
>>53177
皇室入りしてから作ったどんな高価なスーツやドレスよりも、一番良く似合ってますね+31
-0
-
53293. 匿名 2025/06/07(土) 21:29:19
>>52961
加工で消されたんだね、電源コード、処刑台送りがそんなに嫌なんだ。
悪い事やってる自覚あるからビクビクするんだよ。+58
-0
-
53294. 匿名 2025/06/07(土) 21:29:27
>>53004
皇太子夫妻の来日だから国賓ではなく公賓になるから略式の晩餐会もしくは夕食会の形式でしたらティアラはおかしいね。+21
-0
-
53295. 匿名 2025/06/07(土) 21:29:30
>>53253
腰曲げてペコペコしながら歩くのが日本のマナーてして認識されそうで嫌だな。+19
-0
-
53296. 匿名 2025/06/07(土) 21:30:07
>>53174
肩まわりもボトックスしてるっぽい
この人、上半身薄くて胴が長い、下半身太めだからやる意味ないけど
顔面フル整形すると、胸、肩、ふくらはぎって身体もイジり始める人多いよ+34
-1
-
53297. 匿名 2025/06/07(土) 21:30:19
>>53109
加齢により伸びた人中を短く見せようと必死なのかな+24
-0
-
53298. 匿名 2025/06/07(土) 21:30:42
>>53269
皇族も減らしていい+37
-0
-
53299. 匿名 2025/06/07(土) 21:31:04
>>53058
抗議されてたんじゃないの?+7
-1
-
53300. 匿名 2025/06/07(土) 21:31:44
>>53257
平民も平民、ただの田中の母ちゃんだよね+27
-1
-
53301. 匿名 2025/06/07(土) 21:32:11
>>53289
恥かきさん?+25
-1
-
53302. 匿名 2025/06/07(土) 21:32:59
>>52961
この家具屋で4億円以上も使ったと現地で報道されたみたいだから
バレたらまずいと思って消しているのかしら
こいつらの莫大な浪費は今更隠しても遅いよ+114
-0
-
53303. 匿名 2025/06/07(土) 21:33:16
>>53298
支える国民が減るのに皇族増えるのおかしい+64
-0
-
53304. 匿名 2025/06/07(土) 21:33:21
>>53251
腐敗した政治家がいなくなればいいだけの事、利権絡みでズブズブになってる税金泥棒をクビにすれば万事解決。+34
-0
-
53305. 匿名 2025/06/07(土) 21:33:24
>>53251
そう思います
イタリアやフランスは人口5000〜6000万人だったはず
日本は山岳地帯が多く住めない地域もたくさんある割に人口が多すぎるんです
8000万人でも国が回るように、まずは国会議員と皇室のスリム化をお願いしたい
どっちも半分くらいで良いですよね
そして出生率の低下だとか人口減だからと、むやみやたらと海外から来た方々へ保険料を差し出すより、まじめに税金を納めている日本人を当たりに優遇してほしいです
+80
-2
-
53306. 匿名 2025/06/07(土) 21:33:41 ID:LXg5T5z366
>>53186
東久邇宮の子孫が日系ブラジル人になっているけど、かーぼんの婿になりそうな男性はいないと思う。+28
-0
-
53307. 匿名 2025/06/07(土) 21:33:44
>>53293
電気ナマズ⚡️っているから、電流通してもヘーキヘーキ+24
-0
-
53308. 匿名 2025/06/07(土) 21:34:28
>>52575
王族としての教育受けて育ってないなら公式の場に王族として公務出す必要無いと思うけどな。
相続は権利あるけど王族活動に就く条件は満たしてない、英国のヘンリーやアンドリューみたいな。+25
-0
-
53309. 匿名 2025/06/07(土) 21:35:05
>>50852
動画コメントにあった。慰霊碑に供花して拝礼するお辞儀が浅すぎてテイク2になったらしい。日本の報道は2回目のもので供花をチョンチョンと触って(ここもカット)深くお辞儀しているヤツ。海外では1回目の浅〜いお辞儀がニュースで出回ってるそうな。京劇のアラサーやらかす。+136
-1
-
53310. 匿名 2025/06/07(土) 21:35:12
>>53298
当たり前、相応しくない強欲達の無駄遣いが多いんだよ。迷惑だからやめてよ、嫌いだから+36
-0
-
53311. 匿名 2025/06/07(土) 21:35:56
>>52497
わざと見せ場を作ったかな?
「ブラジル🇧🇷国旗を拾ってくれたプリンセス」ババーン
残念なのは
この方いつもお尻をどっすんと落としすぎなんですよ
セミタイトスカートなら膝小僧よりお尻を落としちゃだめです見えます
折角の見せ場が国辱レベルの赤っ恥ババーン
30代の内親王なんだよね情けない+77
-0
-
53312. 匿名 2025/06/07(土) 21:36:05
>>53258
キコさんが無理して凍り付いた笑顔作ったときに
似ている気がする。
+22
-1
-
53313. 匿名 2025/06/07(土) 21:36:45
>>53307
本物かどうかもわからんよ?本物のナマズならば電気ショックや10万ボルトでも生き延びるけど、電気ナマズでもない、ニセモノのナマズならば、そのまんまだ。😊ニコッ+12
-0
-
53314. 匿名 2025/06/07(土) 21:37:53
>>52397
この前の敬宮愛子さまが能登で膝を折って高齢者のお話を聞いておられたのを真似したのか、相手の人は椅子で、佳子も膝折ってるね。真似しんぼう一家。+64
-1
-
53315. 匿名 2025/06/07(土) 21:37:59
>>52835
一枚戻るだけじゃなくて捲って捲って探し出してたもんねw+11
-0
-
53316. 匿名 2025/06/07(土) 21:38:02
>>53000
女の子だったから、ってちょっと上にあったわ+19
-0
-
53317. 匿名 2025/06/07(土) 21:38:29
>>53125
赤子のうちに…
こわ
皇室に人さらいみたいなことさせるの?
私が母親なら嫌だよ+64
-0
-
53318. 匿名 2025/06/07(土) 21:38:44
>>53302
家具屋さんで四億円も使ったの!?それは非難されて当然だよ、電気椅子で処刑される悪事やってる自覚あったからなんだねー。泥棒
泥棒は電気椅子でビリバリ⚡️💀燃やされても当たり前だね。+73
-0
-
53319. 匿名 2025/06/07(土) 21:39:02
>>53311
マコさんがペルーの施設で子どもをハグした仕込み
シーンとかぶるね。
+37
-0
-
53320. 匿名 2025/06/07(土) 21:39:22
>>53314
膝折ることを学んだか!
着物のときもそうしてね!
お尻突き出さないでね!+25
-0
-
53321. 匿名 2025/06/07(土) 21:40:21
>>53125
赤ん坊誘拐犯予備軍なんですか?ますます相応しくないですねぇ。犯罪者の思考回路だ。母親から子供を奪うなんて+29
-0
-
53322. 匿名 2025/06/07(土) 21:40:32
>>53182
仲間に「天皇」というあだ名で呼んでもらったらどうかな?
なんならミドルネームにする?+38
-0
-
53323. 匿名 2025/06/07(土) 21:40:45
男系男子派は🍂や🥎を実際に見ても
彼らに皇位移して平気と思うんだね
どこがどう大丈夫なのか教えてほしい+20
-1
-
53324. 匿名 2025/06/07(土) 21:40:46
>>53302
大した家に住んでないのに。
横流ししてるんじゃないの?+37
-0
-
53325. 匿名 2025/06/07(土) 21:40:58
>>53269
ABって減らすって言いながら何もしなかったよね+22
-0
-
53326. 匿名 2025/06/07(土) 21:41:43
>>53322
K電化みたいなもんやねw+12
-0
-
53327. 匿名 2025/06/07(土) 21:42:01
>>53257
そのセリフは皿のマネだしね……(´・ω・`)+19
-0
-
53328. 匿名 2025/06/07(土) 21:42:15
>>53233
ベロアかなー
どちらにしても暑苦しくて
運動には不向きだよね
当時自分は高校生だったけど
ちっとも彼女に憧れなかった
お嬢様といえば
ビートたけしの元気が出るテレビで
「お嬢様を探せ」という枠があり
良くリアルお嬢様を特集していて
漫画では白鳥麗子が流行っていて
(1987-1992)
それらのお嬢様と重なるものがなかった
婚約会見のバカリボンについて
同時代のWINKのバカリボンが正統派で可愛くて
サムはじめっとしていて
リボンもヘンテコにみえてたよ+29
-0
-
53329. 匿名 2025/06/07(土) 21:42:23
>>53125
自分が産んでない赤ん坊を、私利私欲で利用するつもりですか?母親と赤子本人の気持ちを考えずに?意地汚いですね、まるで下賤のやり方だ。+54
-0
-
53330. 匿名 2025/06/07(土) 21:42:51
>>53125
陛下から求められたら、って、陛下がそんなこと求めるわけないじゃん。
男系カルトの日本会議に無理矢理決められて、陛下がいたわしい。+76
-0
-
53331. 匿名 2025/06/07(土) 21:43:01
>>53316
水子の霊がたくさんいるということか💦+19
-0
-
53332. 匿名 2025/06/07(土) 21:43:11
>>53158
教えてくれてありがとう。国民年金も毎年のように値上げしてるのにこれ以上払うなんて嫌だよ。税収過去最高というニュースあったよね。おかしいんだけど。+43
-0
-
53333. 匿名 2025/06/07(土) 21:43:15
>>53182
国家転覆罪適用でいいよね、これは。+35
-0
-
53334. 匿名 2025/06/07(土) 21:43:24
>>51843
なにこの動き![比較されがちなこと]()
+108
-0
-
53335. 匿名 2025/06/07(土) 21:43:43
>>51099
承子女王は私は好きだけど、三笠宮系の皇族だし憎悪の対象かもね。+6
-0
-
53336. 匿名 2025/06/07(土) 21:43:45
>>53323
何年か前に、坊ちゃんに会ったことがあるというアキシンらしき人が
「病院で取り違えたのかと思うくらい、聡明には見えない」
とヤフコメに書いてたね
聡明に見えないなら取り違えてないよね
間違いなく、あの両親の子だよ+91
-0
-
53337. 匿名 2025/06/07(土) 21:44:01
>>53314
園遊会の時にも車椅子の方との写真撮らせてたよね。慈愛の皿の手法なんだな+22
-0
-
53338. 匿名 2025/06/07(土) 21:44:17
>>53125
赤ん坊の人権と気持ちを考えない所がダメだ、人の心がない。鬼だ+37
-0
-
53339. 匿名 2025/06/07(土) 21:44:55
>>53314
ひと頃に比べて所作が落ち着いてきた感じ
敬宮様を徹底的に研究してると思う
学ぶ姿勢は大事だけど、もう30歳なんだよね…+1
-43
-
53340. 匿名 2025/06/07(土) 21:46:08
>>53339
いや、>>53334 を見ると、いまも所作ヤバイよ+56
-0
-
53341. 匿名 2025/06/07(土) 21:46:19
>>51849
ずいぶん小顔だね+3
-0
-
53342. 匿名 2025/06/07(土) 21:46:52
>>53290
日本会議もあるよ
2000年に国外初の支部として設立されたらしい+8
-0
-
53343. 匿名 2025/06/07(土) 21:47:22
>>53318
輸送費も億かかってて総額でとかなんとか。
あの🐎🦌デカい鶏も輸送費が信じられないくらいかかってるよね。お印の木で磔にしたいくらいだわ+14
-2
-
53344. 匿名 2025/06/07(土) 21:47:43
>>53341
顔はそんなに大きくはないよ
敬宮さまと並ぶと小さくないけど、家族と並ぶと小さく見えるもん+2
-7
-
53345. 匿名 2025/06/07(土) 21:47:59
>>53302
4億?
億?
ナニ買ったらそんなんなるの???+35
-0
-
53346. 匿名 2025/06/07(土) 21:48:50
>>53230
四億円家具屋で税金盗んで買い漁った罪で処刑台🪑💀⚡️か、成る程な。+25
-0
-
53347. 匿名 2025/06/07(土) 21:49:02
>>53309
テイク2って。やっぱりD2が全部仕切ってる撮影会か+86
-1
-
53348. 匿名 2025/06/07(土) 21:49:18
>>53339
は?+17
-0
-
53349. 匿名 2025/06/07(土) 21:49:34
>>53329
子供のいない近い親戚の養子にするならまだいいけど、関係者の私利私欲のために皇室に養子にするって、その赤ちゃんの人生は何なんだよ!?と思うわ+14
-0
-
53350. 匿名 2025/06/07(土) 21:49:46
>>52560
留学時代の陛下はエリザベス女王のはからいで休暇には欧州王室を訪問し真面目で優しく温かなお人柄が大歓迎されました。中でもオランダ皇太子(現国王)ベルギー皇太子(現国王)とは意気投合され互いの結婚式には呼び合おうと約束もされました。ベルギー皇太子の結婚式には雅子さまを伴って出席されオランダ皇太子は静養に呼んでくださって即位式には皇太子ご夫妻として出席されました(シワドレス事件)+6
-0
-
53351. 匿名 2025/06/07(土) 21:50:54
>>53257
格下が何を思い上がってるの?どうしてそこまで頭が悪いの?そんなだから、これだからハンブルオリジンはって言われるんだよ。+54
-1
-
53352. 匿名 2025/06/07(土) 21:50:58
>>53334
綱引き?+68
-0
-
53353. 匿名 2025/06/07(土) 21:51:07
>>53336
キコシンの人じゃない?あのソーメイな👹の子なのに信じられないって書き込んでたはず。どこをどう見たら👹がソーメイに見えるのか。そのキコシンが見ても没はあかんのやろね+33
-0
-
53354. 匿名 2025/06/07(土) 21:52:05
>>53343
😊やっていいよ、ニコッ。奴らは罪をおかした、😊ニコッ+10
-0
-
53355. 匿名 2025/06/07(土) 21:52:10
>>53109
上下の唇に隙間ができて歯が見えてる
前も唇が変な閉じ方してる写真があったけど、顔面いじり過ぎて口がきちんと閉じられなくなってる?
濃すぎるメイクといい色々と大丈夫なのか、この人+61
-0
-
53356. 匿名 2025/06/07(土) 21:52:34
>>52968
これから⚡️⚡️される時に👹が嬉しそうにしてると想像するとジワる+12
-0
-
53357. 匿名 2025/06/07(土) 21:52:35
最近工作員は愛子様→敬宮様呼びしてこちらの常連になりすましてさりげなく🦌上げするようになったね
あの手この手変えてくるわw+20
-0
-
53358. 匿名 2025/06/07(土) 21:52:53
>>53331
昔は霊感あるとかいう人達が🍂夫妻の写真には必ず禍々しいものが一緒に写ってるとコメントしてたわ+22
-0
-
53359. 匿名 2025/06/07(土) 21:52:58
>>53334
綱引き?![比較されがちなこと]()
+60
-0
-
53360. 匿名 2025/06/07(土) 21:53:26
>>50846 興味ないかもですがその後の報告です。❄さまで調べるとXでこのニュース貼ってる垢意外と多いです。参加者?男系男子派?
https://news.yahoo.co.jp/articles/3fcf2017ef54fe63ce684bbc096ee2a6ebc57277?source=sns&dv=sp&mid=other&date=20250607&ctg=loc&bt=tw_up
+3
-1
-
53361. 匿名 2025/06/07(土) 21:54:31
>>52497
パン◯ラ写真撮っちゃうぞ、な一枚になったな。+27
-1
-
53362. 匿名 2025/06/07(土) 21:54:50
>>53334
足広げすぎ!
お股からパカーっと広げてるでしょ、これ+61
-0
-
53363. 匿名 2025/06/07(土) 21:55:09
>>53356
保険金◯人狙ってるの?👹+8
-0
-
53364. 匿名 2025/06/07(土) 21:55:27
>>53325
あ、自ら去ったなw+3
-1
-
53365. 匿名 2025/06/07(土) 21:55:37
カコのプラジル訪問はニュースでやっても、勲章についてふれないのは後ろめたいってこと?+85
-1
-
53366. 匿名 2025/06/07(土) 21:55:44
>>53287
>アルフレッド稔彦
多羅間アルフレッド稔彦
東久邇稔彦氏の4男の俊彦氏
ブラジルに渡り多羅間家の養子になって
沖縄出身の移民の女性と結婚
その1人息子です+17
-0
-
53367. 匿名 2025/06/07(土) 21:56:01
>>53363
🌷と縁続になったのもわかる+12
-0
-
53368. 匿名 2025/06/07(土) 21:56:08
>>53250
「かかあ天下と空っ風」
↑群馬名物としてよく云われます。
群馬の嫁さんは農閑期には機(はた)を織って家計を支えていたので強いのです。
空っ風は冬の群馬によく吹いているカラカラに乾いた風。だから肌や手がとても乾燥します。
以上、勤めをしていた頃、群馬出身の同僚から聞きました。+8
-0
-
53369. 匿名 2025/06/07(土) 21:56:13
>>53186
そういう話は眞子がブラジル行く時にも話題に上がったの
ブラジルでお見合いするとか何とか、でも結局KKだからねー+14
-0
-
53370. 匿名 2025/06/07(土) 21:56:35
>>53239
自営業の主婦は国民年金払ってるからね
そこらへんも不公平感半端ないのよ
みんな自営業だと経費でバンバン落とせて節税し放題だと感違いされがちだけど仕事でかかった経費だけをちゃんと計算した上で計上して確定申告している身としては中々厳しい生活してます
私自身の立場を一例として書いただけです
色んな立場の人がいる中で手が届かなかったりタイミング等で外れる人達の事も考えてほしいと思うこの頃です
+17
-0
-
53371. 匿名 2025/06/07(土) 21:56:39
>>52890
こども手当じゃなくて、議員給与カットとか、海外へのばらまきやめたら復興に使えるよね?+22
-0
-
53372. 匿名 2025/06/07(土) 21:56:42
>>53322
Y守天皇 を思い出すよw+18
-0
-
53373. 匿名 2025/06/07(土) 21:56:50
>>53367
オトモダチか、同類項か。+3
-0
-
53374. 匿名 2025/06/07(土) 21:57:00
>>53359
私もこれが浮かんだwww
二人で戦ってるんじゃないの?+29
-0
-
53375. 匿名 2025/06/07(土) 21:57:02
>>53357
ああ、ごめんなさい、私のことかな?
かーぽん、🍂家の面々の中では顔デカではないと言いたかったのだが
他がでかすぎて
でも、彼女の場合、小顔がいい方向には働いていていなくて、脳みそ少ないのかなと思うだけよね+3
-0
-
53376. 匿名 2025/06/07(土) 21:57:37
>>53371
そちらが大切だよね、ばらまいてる議員は逮捕して欲しいよね、国家反逆罪と背任行為で良くない?+8
-0
-
53377. 匿名 2025/06/07(土) 21:57:48
>>53323
担ぐ神輿は軽い方がいい
だけど軽すぎる鯰神輿も問題だし、そもそも没なんて神輿にすらならないのにね
+21
-0
-
53378. 匿名 2025/06/07(土) 21:57:58
>>52942
おそらく連中からすると旧宮家はGHQによって戦後に皇籍離脱させられたけれど敗戦がなければ今でも皇族であって、それ以前に臣籍降下したケースとは違うという認識なのでしょうね+16
-0
-
53379. 匿名 2025/06/07(土) 21:58:27
>>52998
フィンランド大統領「こいつら、招待していないが。どうなってんだ。」![比較されがちなこと]()
+24
-0
-
53380. 匿名 2025/06/07(土) 21:58:29
>>53186
アルフレッド氏のこと?
マコさんがかつて面会したけど、年上だし既婚者だったはず。+16
-0
-
53381. 匿名 2025/06/07(土) 21:58:41
>>53360
SNSは結構工作員達の仕事場なんだろうな。
ヤフコメが結構皆さんよくわかってらっしゃる方々が書いていますね。やたらと出てきたのが完全に失敗でしたね+28
-0
-
53382. 匿名 2025/06/07(土) 21:58:41
>>51769
母親はいまだにパンツの線やら股間のYライン見せるの好きだもんね+17
-0
-
53383. 匿名 2025/06/07(土) 21:58:42
>>53353
田中の実物、どんだけすごいんだろうね?
興味本位で見たくなってきたわ+27
-0
-
53384. 匿名 2025/06/07(土) 21:58:44
>>53365
悪い事をしている自覚があるんだね、大した実績もない🦌に実績があると嘘ついて金を渡した。罪になるよね+89
-0
-
53385. 匿名 2025/06/07(土) 21:58:45
>>53355
対面であの奇妙な口の閉じ方されたら怖いよね+23
-0
-
53386. 匿名 2025/06/07(土) 21:59:10
>>52774
皇后の良子さまが欠席だから、
女性皇族の最高位が🥗だから、
女性側のドレスコードを決められるのでは?
ーで、通達しといて、
自分だけティアラ👑付けて出る。
お客さまをおもてなしする気なんて、
サラサラなくて、
あくまで自分本位なんだよ。+36
-0
-
53387. 匿名 2025/06/07(土) 21:59:22
>>53058
こちらのアジェンシア・ブラジル (Agência Brasil)はブラジル政府が運営する全国規模の公共通信社。
>>53253
こっちのYouTubeはブラジル日報。サンパウロで日本語の新聞を出版してる会社。
日系人・日本語わかる人向けにはぱっと見、ブラジル日本文化福祉協会が🦌を歓迎してる風にしてるけど、ブラジル政府・ブラジル国内的にはブラジル日本文化福祉協会が🦌を歓迎してるとは見せたく無いってことでは?
ブラジル政府は確実に歓迎して無いね。+48
-0
-
53388. 匿名 2025/06/07(土) 21:59:25
>>53372
私が天皇にしてあげると平民がのたまった話w+15
-0
-
53389. 匿名 2025/06/07(土) 21:59:39
>>53380
え?既婚なの?🐎の時にはお見合いみたいな書かれ方してたよ+8
-0
-
53390. 匿名 2025/06/07(土) 21:59:59
>>53302
その家具、ナマズ邸にあるのだろうか?祖国に船便とかで送ってないでしょうね。4億分の家具って異常。
この写真の記事か忘れたけど愚かな妻と書かれてた記憶。+53
-0
-
53391. 匿名 2025/06/07(土) 22:00:13
>>53322
すでに親王扱いだったよね。台湾で。
取り巻きには殿下って呼ばれてるかもよ華頂宮名乗ってるあの男みたいに。+26
-0
-
53392. 匿名 2025/06/07(土) 22:00:52
>>53309
「深く拝礼されました」ってニュースでやってた
えらく深々とやってるなと思ったらそういうことか+79
-0
-
53393. 匿名 2025/06/07(土) 22:01:24
>>53377
軽すぎる神輿は担いでいる人も飛んでいくんだがw+6
-0
-
53394. 匿名 2025/06/07(土) 22:01:58
>>53378
小田部先生の話では、臣籍降下したことに恨みがあるケースも
あるらしいと。
実際に以前旧皇族と話した時に複雑な思いを聞いたと。
ダンケーにこだわるヒトは何らかのうまみがあるからではないかと。
+17
-0
-
53395. 匿名 2025/06/07(土) 22:02:13
>>53288
横。
キコさんは太らないよう苦心しているらしいですが、年齢には
勝てないようです。
英国でのキコさんの写真(現地のメディア撮影)をみると、
腰回りが太ましくなっておりました。
キコさんの国内での写真と映像は加工されて細くみえるように
されているんでしょうね。
+34
-0
-
53396. 匿名 2025/06/07(土) 22:02:53
>>53381
threadsもヤバいよね+7
-0
-
53397. 匿名 2025/06/07(土) 22:02:55
>>53305
帰化人、在日外国人ともなんでも日本人と同じ待遇にする必要はない。差別ではなく区別。+19
-0
-
53398. 匿名 2025/06/07(土) 22:03:36
>>53395
太りやすい体質っぽい気がする
筋肉がないから締まりがないのかも+16
-0
-
53399. 匿名 2025/06/07(土) 22:04:21
>>53323
没だから大丈夫ってより、朝鮮ルーツだからって理由で押されてるだけでは+14
-0
-
53400. 匿名 2025/06/07(土) 22:04:24
>>53390
中東からNK国に行く船で運んだかもしれん。
ヨルダンとNK国の往復便があるので利用したかもしれない。+15
-0
-
53401. 匿名 2025/06/07(土) 22:05:01
>>53392
台本に書かれてるのはそうだったんでしょうね。テレビも軒並み台本渡されてその通りの報道なんだろな+32
-0
-
53402. 匿名 2025/06/07(土) 22:05:26
>>52071
雅子さまのこと?![比較されがちなこと]()
+68
-0
-
53403. 匿名 2025/06/07(土) 22:06:03
>>53296
人造人間やんね
気持ち悪い+15
-2
-
53404. 匿名 2025/06/07(土) 22:06:15
>>53389
横
ウィキで調べたら、その男性のお父さまが1929年産まれなんだよね
その男性に息子がいたら、マコカコくらいなのかな?+7
-2
-
53405. 匿名 2025/06/07(土) 22:07:03
>>52730
しかも難聴と言いながら爆音のサーキット場でお愉しみ⭐︎ってね。皿秋みたいに詐病じゃないと良いんだけど!+27
-0
-
53406. 匿名 2025/06/07(土) 22:08:01
>>53329
男だからこんなこと簡単に言っちゃうんですかね
母親の気持ちとかも何も考えてないでしょう?
もし母親の承諾を得たとしてよ、やってること代理母と何が違うのよ
ダンケーカルトの倫理観やばいって+26
-0
-
53407. 匿名 2025/06/07(土) 22:09:25
>>53362
元々足開くよう躾けられてるから
日本人らしくないね![比較されがちなこと]()
+28
-0
-
53408. 匿名 2025/06/07(土) 22:09:26
>>53402
雅子さまの時は例えられる感じではなかったよ。浩宮さまのお相手がどえらい才色兼備(残念ながらダイアナは美貌やファッションの人だからさ)の人に決まったという感じで海外で報道されてたはず+48
-0
-
53409. 匿名 2025/06/07(土) 22:09:36
>>48604
政界のペロヒトや〜
き も ち わ る い 🤮
さすが!変な若作り女()と不倫するだけあるわ
この野郎、自分のことカッコいい()男前()と思ってる節があるだろ+15
-0
-
53410. 匿名 2025/06/07(土) 22:10:15
>>52979
捻くれた見方をするなら、利権的には旨みは無い真っ当な方々なんでしょうね+15
-0
-
53411. 匿名 2025/06/07(土) 22:10:25
>>53177
後ろは眞子、前は佳子に似てますね+14
-0
-
53412. 匿名 2025/06/07(土) 22:10:51
>>53395
過去トピで見たけど、どこかの公務先で出されたまんじゅうを
三個もパクついたらしいよ。
バランスよく食事して気を付けてるようには見えないね。
食べ物には目がないのかと。
それと中高年になるとウエストあたりは痩せるけど、
下半身は痩せにくいね💦
坊ちゃんがクッキー一缶食べたり、栗ようかんを爆食いしたり
するのと同様ムラ食いかと。+18
-0
-
53413. 匿名 2025/06/07(土) 22:11:45
>>52497
両国の旗って子供たちが左右に小振りしてるでしょ
意図的に前に飛ばさないとこの位置には落ちない気がする+46
-0
-
53414. 匿名 2025/06/07(土) 22:12:35
>>52350
農業のプロは種から選別するよね
形質の遺伝は大事なことだもん。+7
-0
-
53415. 匿名 2025/06/07(土) 22:12:38
>>53094
保存よ保存、それが一番だわ。+10
-2
-
53416. 匿名 2025/06/07(土) 22:12:55
>>53309
花をチョンチョンと触って
花じゃなくて…自分の名前が書いてある白い布だか紙をチョンチョンなでてたのw佳子はやはりおバカな芸人コーゾクです。意味がわかってないないコピペ芸人のようです。
花を触る仕草…供花の花が大きい時に運んでもらった花を敬意を示すためにかな?両陛下がその仕草をされていて泣きそうになったことがあります。亡くなった方がも喜ばれているだろうなって…インドネシアでした。+53
-0
-
53417. 匿名 2025/06/07(土) 22:13:04
>>52386
徹子の部屋の写真見てドン引きしたわ
足の裏を人に向けてタバコ吸ってやがったのよ+8
-0
-
53418. 匿名 2025/06/07(土) 22:13:07
>>53102
着物の袖口に対して手と指のバランスが悪くて妖怪みたいだわ~+13
-0
-
53419. 匿名 2025/06/07(土) 22:13:50
>>53309
やっぱり案件か![比較されがちなこと]()
+83
-0
-
53420. 匿名 2025/06/07(土) 22:15:00
>>53416
名前の書かれた布が撚れてたから自分で直したんでしょ
馬鹿だわ+18
-0
-
53421. 匿名 2025/06/07(土) 22:15:09
>>53334
大きなカブ+15
-0
-
53422. 匿名 2025/06/07(土) 22:15:49
>>53404
過去トピで詳しく調べた人のコメントでは、
お嬢さんがいるらしいと。
+4
-0
-
53423. 匿名 2025/06/07(土) 22:16:10
>>53412
>坊ちゃんがクッキー一缶食べたり、栗ようかんを爆食いしたり
没たま偏食にムラ食いみたいだねー
それだと………略+18
-0
-
53424. 匿名 2025/06/07(土) 22:16:19
🍂達ってよく出歩くね
お車代たくさんもらえるのかなー+13
-0
-
53425. 匿名 2025/06/07(土) 22:16:43
>>53309
京劇のアラサー❣️
ネーミング大賞🎊+59
-0
-
53426. 匿名 2025/06/07(土) 22:17:23
>>53076
うちだって桓武平氏に繋がっちゃうんだからw農民だけどね…でも、野に下った一族なんて農民になるくらいしか生業がなかった時代だったと思うのよね。+20
-0
-
53427. 匿名 2025/06/07(土) 22:18:15
TBSの報道特集
🍂宮家のゴコーム報道
毎回毎回必ず流すんだよね
なんなん?!
予想通り!🦌の放送されたけど
何故天皇御一家のニュースは流さないのか
不思議すぎる+28
-0
-
53428. 匿名 2025/06/07(土) 22:19:11
>>53392
●●の●●案件ですね。
台本通りに報道すると金が届くのかしら?
+27
-1
-
53429. 匿名 2025/06/07(土) 22:19:11
>>53248
昭和天皇は生死の境を彷徨いながらも「民は飢えてないか」って気にかけて下さった方だもんね
+16
-0
-
53430. 匿名 2025/06/07(土) 22:20:12
>>53379
👹さんこの時のヘッドドレス?帽子?変だよね
+8
-0
-
53431. 匿名 2025/06/07(土) 22:20:17
>>53427
だって🏺と👹の故郷だもん+7
-0
-
53432. 匿名 2025/06/07(土) 22:21:47
>>53288
>鯰が細い女が好み
学習院時代に「とにかくデカい」「ガタイがいい」と言われてた👹さんはナマズの好みから完全に外れてるじゃないw
やっぱり「キコちゃんは何でも()してくれる」が決め手だったんだ
下半身脳の🐴🦌のせいで国民は大迷惑だわ+35
-0
-
53433. 匿名 2025/06/07(土) 22:22:01
>>52336
男はみんなすぐ嘘を付く、自分の利益を得る為ならどんな手段も使い、どんな悪い事もする。傲慢なやつらだ+4
-0
-
53434. 匿名 2025/06/07(土) 22:22:08
>>53407
金も学もない家で育ったが、股を開いてたりしたら「やめなさい」と言われたわよ+46
-0
-
53435. 匿名 2025/06/07(土) 22:22:21
>>53370
そうなのね?
実際自分の周りの自営業は経費でバンバン落として、所得を限界まで少なくしてるからちょっと羨ましくもあったよ。+5
-1
-
53436. 匿名 2025/06/07(土) 22:22:58
>>53125
大正天皇も、生みの母が昭憲皇太后と違うと知って、ずいぶん傷ついたんですよね。
普通の家なら籍だけ移してとかもあるけれど、幼いうちから教育係をしっかり付けて教育しないと悲惨な事になるのは陛下と敬宮さま、🍁一家と☂☂☂姉妹の違いを見れば一目瞭然。
幼い頃から一挙手一投足をマスコミや周囲に評価される環境なんて、両親の愛情や支えが無いと無理だと思うのですが。
ケケ田の息子を宮家に養子に入れても、将来的にはラーメン屋&墓屋の息子、親類にはヤバいやつがいっぱいと陰口叩かれるのでは。+21
-0
-
53437. 匿名 2025/06/07(土) 22:22:58
>>53426
うちは清和源氏だよもっと遡ると天皇の息子
でもしっかり農家よ
そんなもんよね+18
-0
-
53438. 匿名 2025/06/07(土) 22:23:15
>>53368
>かかあ天下と空っ風
横。
S田家のルーツは群馬県の館林。
そのためかどうかS田家はかかあ天下だったらしいですね。
(昭和時代〜平成初期に活躍した皇室ジャーナリスト
河原敏明さんによると、S田氏(🍽️さん父)は
やや恐妻家だったらしいとのこと)
🍽️さんは実家の家風(かかあ天下)を皇室に持ち込んだようです。
(🍽️さんは🍵さまを尻に下にひいてやりがい放題だった)+3
-0
-
53439. 匿名 2025/06/07(土) 22:23:49
>>53402
美しい…+33
-0
-
53440. 匿名 2025/06/07(土) 22:23:58
>>53432
ダイエットしてるのか知らないけど、造りがデカいよね
日赤の大会のときに皇后陛下や妃殿下方と並ぶとひとりだけデカい
顔のサイズとか旦那と違わないのでは?
+19
-0
-
53441. 匿名 2025/06/07(土) 22:24:19
>>53375
小顔じゃないでしょ+4
-0
-
53442. 匿名 2025/06/07(土) 22:25:32
>>53058
こんな扱いで虚しくならないの?笑 母ちゃんも海外で酷い扱いだけどさ〜+22
-0
-
53443. 匿名 2025/06/07(土) 22:26:07
>>53440
座高もたいして違わないよ
私も胴長短足だから人の座高とやかく言えないけどさ+19
-0
-
53444. 匿名 2025/06/07(土) 22:26:27
テレビ見てたらはたちでチョビ髭の男性が出ていて🍂思い出し嫌悪感。
チョビ髭以外は嫌いじゃない場合が多いんだけど、何故かチョビ髭が嫌なのは🍂に刷り込まれたせいだろうか。+1
-0
-
53445. 匿名 2025/06/07(土) 22:27:08
>>53400
元工作員の男性がインタビューでオーストリアや周辺国で将軍様の為に高級品を購入してせっせと祖国に送っていたと話していたから👹も同じ事してるのかもね。+20
-0
-
53446. 匿名 2025/06/07(土) 22:27:24
>>53058
写真に写りこんだ政府に近しい人たちが、🦌(ブラジル利権・マネロン)と一緒に写っている写真が公共通信社で配信されることを拒否?
+31
-0
-
53447. 匿名 2025/06/07(土) 22:28:28
>>53309
供花の時の映像をコチラで教えてもらったけど、単なる上っ面だけの撮影会なのにあの動きは台本を理解できないていなかったですよね。
男性が供花直前に佳子の横から立ち去って、ボッチになってからの供花終了までの自信なさげのパフォーマンスって…大根女優は美智子レベルね。血のつながりなさそうなのに、チャブとナマズ並みに似てるかも?+37
-0
-
53448. 匿名 2025/06/07(土) 22:30:12
>>53435
正直ものはバカを見るを地で行ってます
+8
-0
-
53449. 匿名 2025/06/07(土) 22:30:34
>>52672
那覇のオフィス街の奉迎もどんどん人が増えて警察が慌てて機動隊投入したし、あんな凄い人数初めて見たと車列YouTuberさんがコメントしてたわ+21
-0
-
53450. 匿名 2025/06/07(土) 22:30:47
>>52847
まさかだけど
馬子の子を養うための税金
じゃあ、ないよね?+15
-0
-
53451. 匿名 2025/06/07(土) 22:30:47
>>53109
ブラジル日報がYouTubeに動画を出しています。ブラジルの皆さまが一生懸命歓迎して下さっているのが分かります。
ブラジル日報のリンクです
佳子さまブラジル2日目、日系社会の中心機関の文協をご訪問 Segundo dia da Princesa Kako no Brasil ????Visita à Bunkyo.youtu.be佳子さまが6日、文協をご訪問 No dia 6, Sua Alteza Princesa Kako visitou a Sociedade Brasileira de Cultura Japonesa e de Assistência Social (Bunkyo). まずは移民史料館をご視察 Começou com uma visita ao Museu Histórico da Imigração Japonesa. 第1回...
+1
-67
-
53452. 匿名 2025/06/07(土) 22:30:48
971庁は、坊ちゃんの影武者疑惑を公式に否定した方がよろしいのでは?
視聴回数稼ぎのYouTubeで拡散中ですが。
それとも、ミテコさんのDNA鑑定の件と同様、完全黙秘されますか(〃艸〃)ムフッ?+22
-0
-
53453. 匿名 2025/06/07(土) 22:31:25
>>53407
注意!皇族に生まれても教育と努力なしでは品格は身に付きません
+40
-0
-
53454. 匿名 2025/06/07(土) 22:31:38
>>52372
こりゃぁ
かなり🐎🦌にされてますなぁ
🌏ので裏側で
恥晒してまーす!+31
-0
-
53455. 匿名 2025/06/07(土) 22:31:39
>>53365
勲章についてふれないのは不自然だよね
なんでもヨイショしたがるのに+77
-0
-
53456. 匿名 2025/06/07(土) 22:31:47
>>53288
今じゃもうダイエットより食い気で、海鮮丼のために石川行ってしまうんだね。+48
-0
-
53457. 匿名 2025/06/07(土) 22:32:41
>>53383
特級呪物であるのは間違いないねw+22
-0
-
53458. 匿名 2025/06/07(土) 22:32:50
>>53365
副賞にも言及されるから?+67
-0
-
53459. 匿名 2025/06/07(土) 22:33:43
>>52768
なかえゆりがわけわからん
知らない人も多し+39
-1
-
53460. 匿名 2025/06/07(土) 22:34:04
>>53449
道の両側にどんどん奉迎の人が増えた来たらしいね。
そして両側の声援に一人で対応される敬宮様が微笑ましかった。+18
-0
-
53461. 匿名 2025/06/07(土) 22:34:16
>>53407
チョゴリは足を開いて立つみたいよ
まぁ参考まで+26
-0
-
53462. 匿名 2025/06/07(土) 22:34:34
>>53456
ベトナム行くときだっけ?
何が楽しみか聞かれて料理の話しかしてなかった+54
-0
-
53463. 匿名 2025/06/07(土) 22:34:58
>>53383
万博にやってきそうだね。
見るならその時かな。+8
-0
-
53464. 匿名 2025/06/07(土) 22:34:58
>>53434
同じく。
母にみっともない💢って叱られて太ももピシッてされたわ。+15
-0
-
53465. 匿名 2025/06/07(土) 22:35:00
振り袖着てる。メイクが凄いね。![比較されがちなこと]()
+41
-0
-
53466. 匿名 2025/06/07(土) 22:35:23
>>53463
田中見るためにわざわざ万博行きたくないなあ…+25
-0
-
53467. 匿名 2025/06/07(土) 22:35:25
>>53182
だから!敬宮様は男系天皇なのよ!あんたが生きてるうちは関係ない話なのよ!
そもそも、あんたみたいな貧相で下品な人間お呼びでないわ💢+57
-0
-
53468. 匿名 2025/06/07(土) 22:36:08
>>53465
ビジネスの話しちゃってるの?+42
-0
-
53469. 匿名 2025/06/07(土) 22:36:42
>>53424
お車代強奪しに行くんじゃない?+6
-0
-
53470. 匿名 2025/06/07(土) 22:36:55
>>53383
ニチャアと笑ってるのが怖い+16
-0
-
53471. 匿名 2025/06/07(土) 22:37:07
>>53402
ダイアナと並んで立っても全く引けを取らないどころか東西美人がお互いの良いところを引き出し合って輝き増し増しになるようなそんな美貌。しかも雅子様は見た目だけじゃ無い。頭脳もお人柄も、母としても妻としても、どこから賛美したら良いのか分からないくらい。+37
-0
-
53472. 匿名 2025/06/07(土) 22:37:44
>>53469
もらうんじゃなくて、もはや「強奪」⋯
+12
-0
-
53473. 匿名 2025/06/07(土) 22:37:54
>>53470
あの笑顔見たたけで、聡明じゃないのはカメラ越しでもわかるよね+29
-0
-
53474. 匿名 2025/06/07(土) 22:37:56
>>53462
そもそも訪問国(ベトナム)の名前が出るのに手間取ってたよ。事前に質問渡されてるのにな〜んも準備してないのがよくわかったわ。+29
-0
-
53475. 匿名 2025/06/07(土) 22:38:04
>>53269
政治家ってほとんど仕事してない人いるよね+24
-0
-
53476. 匿名 2025/06/07(土) 22:38:30
>>53058
ブラジルがベトナムを踏襲したとか?
でもベトナムで隠されたのは紀子でしたから…+10
-0
-
53477. 匿名 2025/06/07(土) 22:38:36
>>53408
別格です❣️![比較されがちなこと]()
+58
-1
-
53478. 匿名 2025/06/07(土) 22:38:54
>>53437
戦争がない時は武士だけでは食べて行けず兼業農家や職人やったり、次男以降は色んな所に養子に出されたり色々ですよね。
とりあえず戦国時代に、鎖国状態の日本国内で、色んな所で色んな血が混ざっていると思います。+19
-0
-
53479. 匿名 2025/06/07(土) 22:38:55
>>53474
思い出しても、べトゥナムみたいになってた+13
-0
-
53480. 匿名 2025/06/07(土) 22:39:00
>>52336
無能で自分の子孫を自分の体からは産めない出来損ないのクセに、偉そうだから嫌いさ、男は。
そういう使えない男の方が、自分の身体から自分の子供を産む事ができる、偉い女よりも、存在自体どうでもいいんだよね。
自分の身体で子孫を残せる、偉い女達に迷惑かけるなよ、そうしたら女の方は総出でムカつく上から目線傲慢男はもれなく無視してあげるから、男がかつて女達にしてきた酷い扱いよりも酷い、路傍の雑草以下の扱いをするから。そのつもりでいてね、上から目線男は目障りだから。+5
-0
-
53481. 匿名 2025/06/07(土) 22:40:01
>>53471
そうだね
長身のダイアナの輝きに全然負けてないわ![比較されがちなこと]()
+53
-0
-
53482. 匿名 2025/06/07(土) 22:40:07
>>53402
雅子様は雅子様だよね、例えられるなら、西洋の雅子様、だよね。使われ方は+32
-0
-
53483. 匿名 2025/06/07(土) 22:40:58
>>53309
でももう日経新聞とかは花輪に触ってるトコが出ちゃってるよね。![比較されがちなこと]()
+42
-0
-
53484. 匿名 2025/06/07(土) 22:41:12
>>52372
こいつのおかんはドアを蹴りながら降りるし 母娘揃って品位ゼロ+29
-0
-
53485. 匿名 2025/06/07(土) 22:41:38
>>53269
ここで、日本の経済難の為にこれまで支払われていた議員報酬を半額にします。それが不服な方はお辞めになって下さいって言ったらかなり減るかも。+20
-0
-
53486. 匿名 2025/06/07(土) 22:41:40
>>53395
だから骨粗鬆症で腰や膝の関節がやられてきているのでは。+5
-0
-
53487. 匿名 2025/06/07(土) 22:41:49
>>52125
ダイアナフィーバー凄かったよ。週刊朝日の表紙がダイアナ妃で迎賓館までパレードした時は沿道に大勢の人が並んで歓迎してた。大阪空港到着からテレビ中継したからね。+16
-0
-
53488. 匿名 2025/06/07(土) 22:42:02
>>53283
書き漏れの自己レス
右が成人式の振袖じゃないかと言われてました
白黒の帯と似てるけど、微妙に違うように見えます+18
-1
-
53489. 匿名 2025/06/07(土) 22:42:05
>>53456
埼玉で知事との昼食で弁当を完食…胃腸の調子が強いってそういうことかと納得したわw
天皇誕生日のお祝いの席でも誰よりも先にグラスに口を吸いつかせてたし…食い意地モンスターを隠せなくなった?+44
-0
-
53490. 匿名 2025/06/07(土) 22:42:16
>>53459
売り出したけど平凡で売れなかった女優なのに、いつの間にか読書キャラで文化人枠みたいになってた謎の人だよね+46
-0
-
53491. 匿名 2025/06/07(土) 22:42:36
>>53481
西洋の美貌ダイアナ、東洋の美貌雅子様、だよね。拮抗する美貌。
🦌なんか入る余地ないよ、場外ランク外+41
-0
-
53492. 匿名 2025/06/07(土) 22:42:42
>>53296
驚いた!
肩ボトックスってのもあるんだね、ググっちゃったよー
そこまでしてって感じ、佳子、これからいろいろやっていきそうだね+30
-0
-
53493. 匿名 2025/06/07(土) 22:42:59
>>42133
秋篠宮コーシ家は内廷皇族じゃないからコームでお車代もらう、でもコーシだから皇族費は皇太子家同等でもらう、っていうダブスタと同じことするつもりかー。
宮家だから放送しない。でも儀式は皇太子家同等として公式扱いしろ?……フザケンナ+13
-0
-
53494. 匿名 2025/06/07(土) 22:43:07
>>52497
スカートでしゃがむ時そのまましゃがむかね?
+15
-0
-
53495. 匿名 2025/06/07(土) 22:43:35
>>53483
チマチョゴリ着てるような雰囲気ですね。+38
-0
-
53496. 匿名 2025/06/07(土) 22:43:43
>>53125
陛下に求められたら〜って両陛下には敬宮殿下がいらっしゃるのにあまりに失礼なこと言ってません?+53
-0
-
53497. 匿名 2025/06/07(土) 22:43:44
>>53309
動画コメントから話広げてくと収拾がつかなくなるから、気をつけないと+31
-2
-
53498. 匿名 2025/06/07(土) 22:44:23
>>53475
座ってるだけの人いるよね、いらないよね、それで高給取りとは身の丈に合ってない。ただの泥棒、仕事してるフリして金だけはちゃっかり巻き上げるだけの詐欺師だ。+9
-0
-
53499. 匿名 2025/06/07(土) 22:44:26
>>53487
いま思うと「ダイアナ」って名前もいいよね
ダイヤモンドみたいでさ
あの美貌でも、名前が「カミラ」だったらフィーバーはなかった気がする+17
-0
-
53500. 匿名 2025/06/07(土) 22:44:52
>>53283
本当だ、りかちゃん人形とかの腕が着物から生えてるみたい
袖も短く見える+25
-0
コメントを投稿する
トピック投稿後31日を過ぎると、コメント投稿ができなくなります。関連トピック
関連キーワード
削除すべき不適切なコメントとして通報しますか?
いいえ
通報する



































