- 1
- 2
-
1. 匿名 2021/06/18(金) 11:01:25
私生活では自分ほど勉強できない人が周りにいません泣
なのでここで話せたらなと思います!
主は良い歳なのにいまだに掛け算の後半からあやしいです\(^o^)/
皆さんのお話もききたいです!![勉強ができなかった人集まれ\(^o^)/]()
+272
-18
-
2. 匿名 2021/06/18(金) 11:02:39
覚えてもどんどん忘れてゆく…
苦手な理系は全く理解できないまま卒業してしまった。+476
-2
-
3. 匿名 2021/06/18(金) 11:02:44
呼ばれた気がした+406
-2
-
4. 匿名 2021/06/18(金) 11:02:46
壊滅的に頭が悪いです+501
-3
-
5. 匿名 2021/06/18(金) 11:02:52
勉強できなくても生きていけたら全然いいんじゃない?生き抜く能力の方が大事だよ!!
+335
-18
-
6. 匿名 2021/06/18(金) 11:02:54
オール1+48
-23
-
7. 匿名 2021/06/18(金) 11:03:06
数学だけ点数めちゃくちゃ悪くて担任に毎回呼び出されてた。
他の教科はいいのに、なんで数学だけ五点なんてとるんだと言われた+297
-1
-
8. 匿名 2021/06/18(金) 11:03:30
数学七点でした+166
-2
-
9. 匿名 2021/06/18(金) 11:03:32
算数数学がとにかく苦手でした
今やっても絶対分からない+368
-0
-
10. 匿名 2021/06/18(金) 11:03:51
中学の時
数字で2点だった(///∇///)+192
-1
-
11. 匿名 2021/06/18(金) 11:03:58
期末テストはもちろんビリだった+79
-1
-
12. 匿名 2021/06/18(金) 11:03:59
>>7
高校あたりだとそんな感じ+135
-0
-
13. 匿名 2021/06/18(金) 11:04:03
出来ない上にやらなかったから今低所得OLなんだけど
出来ないなりにやってたらまだちょっと違う未来だったのかなって思う+231
-1
-
14. 匿名 2021/06/18(金) 11:04:11
最近YouTube見ながら小3の算数やってます…+121
-0
-
15. 匿名 2021/06/18(金) 11:04:22
引き算苦手
+88
-0
-
16. 匿名 2021/06/18(金) 11:04:28
バカほど東大へ行け+27
-16
-
17. 匿名 2021/06/18(金) 11:05:07
数学の算数の違いが分からん
+89
-2
-
18. 匿名 2021/06/18(金) 11:05:34
中1の数学でマイナス計算で答えがプラスになる仕組みが分からなすぎてそこからどんどん転げ落ちてった
あとカナカナが苦手で世界史の人物名頭に入ってこない+197
-1
-
19. 匿名 2021/06/18(金) 11:05:36
学生の頃わからない所聞いて良いよって言われてもバカすぎて何がわからないのかがわからなかったから聞けなかった。+257
-2
-
20. 匿名 2021/06/18(金) 11:05:50
やっぱり母親もおバカちゃんだった?+21
-13
-
21. 匿名 2021/06/18(金) 11:05:56
小さい頃から生活習慣がガタガタで授業中寝ちゃってて全然ついていけなかった
たまに大人向けの簡単な勉強ドリルやってるけど小学生レベルの知識が身についてなくて笑える、いや笑えない+104
-1
-
22. 匿名 2021/06/18(金) 11:06:00
仕組みや応用がよく分からなかったから、テストは教科書の暗記で乗り越えてた!
とにかく暗記暗記!記憶力もないから端からポロポロ
乗り越えてたと言っても赤点ギリギリ+28
-0
-
23. 匿名 2021/06/18(金) 11:06:02
のび太くんはあれから
国立大学卒業する![勉強ができなかった人集まれ\(^o^)/]()
+72
-0
-
24. 匿名 2021/06/18(金) 11:06:04
試験中、見回ってる先生が必ず私の回答を見て噴き出して去って行ったな+125
-1
-
25. 匿名 2021/06/18(金) 11:06:07
化学が意味不明すぎて無理+125
-0
-
26. 匿名 2021/06/18(金) 11:06:12
>>1
掛け算の後半ではなく、九九の後半ね+49
-7
-
27. 匿名 2021/06/18(金) 11:06:18
工夫して計算する系がまったくだめ。
何年後の6/18は何曜日でしょうか?みたいな問題でテスト用紙の裏にカレンダー書いた思い出。
途中でめんどくさくなって適当に書いた。
もちろん不正解。+68
-0
-
28. 匿名 2021/06/18(金) 11:06:25
はい、私です。
中卒アラフィフ年収200台生涯独身。
でも勤続30年で貯金は頑張って1500万円溜めた。+307
-3
-
29. 匿名 2021/06/18(金) 11:06:30
高校のとき理科の科学わからなすぎて赤点取った
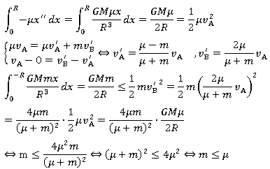
クラスの皆が生物で稼げばいいやと科学を捨てていて、平均点40点くらいだったw+44
-0
-
30. 匿名 2021/06/18(金) 11:06:37
分数の計算って必要なの?+89
-3
-
31. 匿名 2021/06/18(金) 11:06:52
サインコサインタンジェント?
学校出てから何十年も経つけど
日常生活で使う機会まるでなし+148
-4
-
32. 匿名 2021/06/18(金) 11:06:53
理系科目が苦手だった
高校受験も大学受験も推薦で入った
どっちも私立w
大学に至ってはFラン
筆記試験で入った人、本当にすごいと思う
赤点、追試経験ありです
頭が壊滅的に悪い+73
-0
-
33. 匿名 2021/06/18(金) 11:07:06
数学いつも赤点でした
大人になるともっと勉強しとけばよかったって思うよね+91
-1
-
34. 匿名 2021/06/18(金) 11:07:12
>>14
偉いね。私もドリルか何か買って勉強し直そうかと思ってるんだけど、オススメのYouTubeある?本人にバカから、ちょっとバカくらいまでになりたい。+40
-0
-
35. 匿名 2021/06/18(金) 11:07:41
英語で偏差値19+13
-2
-
36. 匿名 2021/06/18(金) 11:07:51
とにかく数学がダメだった。0点取った事あるし。
掛け算ももう忘れた!+86
-1
-
37. 匿名 2021/06/18(金) 11:07:54
はーい
親から罵声浴びなかったらわたし絶対勉強できたし
+14
-6
-
38. 匿名 2021/06/18(金) 11:08:04
>>1
中1の地理で1点とった
『赤道』だけ正解だったw
+115
-0
-
39. 匿名 2021/06/18(金) 11:08:23
>>27
そんなん問題を聞いただけで脳が思考を放棄するわ+60
-1
-
40. 匿名 2021/06/18(金) 11:08:28
はい!通知表にほぼ毎年覚えるんじゃなくて理解しましょうって書かれてました!!!
子供が5歳なんだけど1月〜12月まで英語でスラスラ言える。
私いまだにごっちゃになって言えない。もう越されてる。
+16
-6
-
41. 匿名 2021/06/18(金) 11:08:54
親が家事が嫌いで、子供の時から5人分の家事をしてて勉強をする時間が無かった。
さらに女は上の学校に行かなくていいって考えだった。
働いて弟の大学費用を入れろって親だった。
勉強ができる環境の人が羨ましい。+76
-5
-
42. 匿名 2021/06/18(金) 11:08:56
進学校に行く人なんてみんな親まとも
やっぱり親がまともだと頭良くなるよね
毒親なんて無の世界だよね+82
-9
-
43. 匿名 2021/06/18(金) 11:08:59
はーい
きっと何かの障害があると思うほど勉強出来ません
家庭教師つけてもらったり、そろばん習いに行ったけどぜんぜん出来ませんでした
おばさんになった今も暗算苦手です
漢字を覚えても直ぐに忘れます
右と左も一瞬あれっ?てなる時がある
まぁそれでもそれなりに生きて来れたし不幸でも無かった
ただもっと勉強が出来たら違った楽しさがあったかもとは思う+137
-1
-
44. 匿名 2021/06/18(金) 11:09:19
主さん大丈夫、私不良じゃなかったし遅刻もしない真面目ちゃんだったのに公立高校すべて落ちたから。中2から塾も行ってて親必死で家庭教師までつけてくれたのに県の中で1番頭悪い高校落ちた時は自分でも引いたね。でも今はエステの仕事で役職についてるから頭悪くても生きてはいけるもんです。+131
-4
-
45. 匿名 2021/06/18(金) 11:09:35
予測されるコメント
でも○○の教科だけは得意だった
○学生までビリに近かったけど猛勉強して良い大学に入った
勉強できなかったけど今○○(結構難関)の仕事してるよ
○○大学しか行けなかったと言いつつそこそこの偏差値の大学
私なんて勉強できたのに毒親だったから好きな大学行かせてもらえなかったよ
結局自慢やマウントできそうな所でするのがガル民
冷めてて他人に興味がないからね
+46
-3
-
46. 匿名 2021/06/18(金) 11:09:36
暗記が苦手すぎて歴史の年表や地理の地名が辛かった+50
-1
-
47. 匿名 2021/06/18(金) 11:09:43
褒めちぎって育てたらろくな子にならないとか言うけど、バカアホ言うより褒めちぎった方がよくない?+77
-0
-
48. 匿名 2021/06/18(金) 11:10:14
私も簡単な計算や4級程度の漢字少しだけ読めない。+4
-2
-
49. 匿名 2021/06/18(金) 11:10:15
それでも大学に行った人いますか?
子供が通知表2とかですが、行けるのかな+4
-4
-
50. 匿名 2021/06/18(金) 11:10:36
こんなの見ても何かの柄?模様?にしか見えないし、分かろうとする脳力が無い。
将来仕事に使う日が来るのかも分からない。![勉強ができなかった人集まれ\(^o^)/]()
+118
-1
-
51. 匿名 2021/06/18(金) 11:10:38
数学のテストで一問しか正解なかったことある
だけどその一問が、学年で1番頭がいい人が唯一間違えた問題だった+63
-2
-
52. 匿名 2021/06/18(金) 11:10:55
公式を覚えられないのに公式を使って問題を解けるわけないでしょー+41
-1
-
53. 匿名 2021/06/18(金) 11:11:24
>>30
ピザ食べる時かな?+12
-0
-
54. 匿名 2021/06/18(金) 11:11:28
モネ見てたら勉強したくなった+0
-0
-
55. 匿名 2021/06/18(金) 11:11:37
>>50
知らない国の文字みたい+37
-0
-
56. 匿名 2021/06/18(金) 11:11:46
やれば出来ただろうけど、やる気が起きなくて英語10点だった+2
-5
-
57. 匿名 2021/06/18(金) 11:11:50
どうしようもないくらい引き算が苦手。+13
-1
-
58. 匿名 2021/06/18(金) 11:12:06
>>1
もしかして私、知的障害かと思ったんだけど、、
どうやらワーキングメモリが勉強や仕事に関連するらしいよ!
全然覚えられないし、すぐ忘れるの。
どうやったらワーキングメモリが増えるんだろう?
鍛えられるのかな??+100
-1
-
59. 匿名 2021/06/18(金) 11:12:31
>>7
5点取れるなら正解してる問題あるって事でしょ?
私なんて真剣に考えて全部埋めて0点よ?
けど今普通に事務の仕事してるw+131
-3
-
60. 匿名 2021/06/18(金) 11:12:39
子供が小1の時に算数で「さくらんぼ計算」というのを習って、宿題するときにそれに習って教えるように言われたんだけど、逆に難しくて「???」となりながら一回自分で解かないと説明も出来なかった+30
-0
-
61. 匿名 2021/06/18(金) 11:12:50
旦那には「賢いところが好き」と言われて結婚したけど、学歴は県内1のバカ高校卒です。
テストでは先にほぼ答えみたいな紙を事前に配る教科の先生もいて「頼むから覚えてきてくれ。それだけで100点取れるから」と頼み込まれるような学校だった。
私も全ての教科が中学一年くらいで分からない。
普段バカなことしてる男子がスラスラと証明の問題を解いてるの見てもうダメだと思った。+50
-3
-
62. 匿名 2021/06/18(金) 11:13:00
実家片付けてた時に中学の成績表が出てきてほぼオール3。もう少し出来てた気がしたんだけど気のせいだった。+8
-1
-
63. 匿名 2021/06/18(金) 11:13:08
>>50
見てたら頭痛くなってきたわw+29
-0
-
64. 匿名 2021/06/18(金) 11:13:49
友達に教えてもらってその場でなんとか解けた問題もテストではさっぱり
テスト用紙全部埋めつくして0点って
+9
-0
-
65. 匿名 2021/06/18(金) 11:13:59
同僚だった元ギャルに「卑弥呼ってなんですか?」と聞かれたときはびっくりしたな!でも彼女、英語は得意だったそうで外資系の会社で一緒に働いてた。さらに仕事も普通にこなせてコミュ力高くて気が強いから、外資向きだったかも。+8
-4
-
66. 匿名 2021/06/18(金) 11:14:05
みんな、そんな自虐することないよ。
だって、まだ本気出してないだけでしょ?+19
-2
-
67. 匿名 2021/06/18(金) 11:14:12
馬鹿すぎて先生に嫌がらせしてると疑われた私参上+27
-0
-
68. 匿名 2021/06/18(金) 11:14:21
子供の勉強教えながら、一緒にやるとなかなかゲーム?パズル?みたいで面白い。
昔、習ったことなんて全部忘れてたよ。+10
-0
-
69. 匿名 2021/06/18(金) 11:14:24
>>1
女に生まれてよかったね
女だから掛け算できなくても生きていけるんだよ+13
-22
-
70. 匿名 2021/06/18(金) 11:14:58
姪に宿題を教えてくれと言われて困った
分数の割り算?
そんな何十年も昔に教わったこと覚えてないよ+18
-0
-
71. 匿名 2021/06/18(金) 11:15:08
>>7
数学だけ0点とってしまった+58
-2
-
72. 匿名 2021/06/18(金) 11:15:44
>>42
親兄弟も高学歴が多い。
ただ、教育ママタイプもいる。+9
-0
-
73. 匿名 2021/06/18(金) 11:16:16
算数・数学だけはどうしてもできなくて、いつも温厚なおばさんに算数教えてもらっても分からなくてぶちギレられた。温厚な人をキレさせるくらいヤバい私て一体‥+21
-0
-
74. 匿名 2021/06/18(金) 11:16:19
>>44
役職だったら本当は頭が良いのでは?+27
-4
-
75. 匿名 2021/06/18(金) 11:17:17
>>62
5段階評価なら全然頭悪くないよ+21
-0
-
76. 匿名 2021/06/18(金) 11:17:21
大学受験一般でする人って勉強出来ない人少ないからその中だとめちゃくちゃ馬鹿な方に入った。模試の順位とか絶望的だった。+11
-0
-
77. 匿名 2021/06/18(金) 11:17:23
>>6
高校なら留年だけど+9
-1
-
78. 匿名 2021/06/18(金) 11:18:17
三十代で割り算できない
理解能力もないから子供の役員で意味がわからなくてみんなに迷惑かけてる!おまけにコミュ症だから人と関わりたくない!子供が小学校行ったら宿題とかどうしようか今から悩んでる
字も小学生が書く字みたいだし
本当自分が情けないよ
+33
-1
-
79. 匿名 2021/06/18(金) 11:18:24
>>46
桃鉄すればちょっとは地名頭に入るよ。
イメージ大事。+19
-0
-
80. 匿名 2021/06/18(金) 11:18:29
小学生のとき4教科合計で50点以下だった。
まじで問題文の意味がわからなかった。+7
-0
-
81. 匿名 2021/06/18(金) 11:18:48
お会計の時瞬時に計算できない。
+21
-0
-
82. 匿名 2021/06/18(金) 11:18:57
壊滅的に勉強が出来なかったけど運動がその代わり出来た!小学校から高校までオール5だった。+2
-4
-
83. 匿名 2021/06/18(金) 11:19:19
>>50
これは何のための計算なの?+25
-0
-
84. 匿名 2021/06/18(金) 11:19:25
>>7
我が子のLDがわかり、私たち親子は
病的に数学が出来ない理由がわかりました。
現在は
💻Excelがあるからありがたい+64
-3
-
85. 匿名 2021/06/18(金) 11:19:32
勉強できなかったけど仕事には関係ない事多いから
評価も給料もそれなり。
ただ将来子供に教えられないとおもう。+5
-1
-
86. 匿名 2021/06/18(金) 11:20:02
>>49
大学行っててもやばい人たくさんいるよ。
私は採用担当をしていて面接の時に簡単なテストするんだけど、
履歴書は立派でも、とんでも回答する人たくさん見てきた。
本当に簡単な問題だよ。
例えば現在の一万円札に描かれている人物は誰か?
っていう問題にジョージワシントンとか書いてたり、
インドの首都はどこか?という問題は、
ひらがなで「ぺきん」とか書いてたり。
ふざけてんの!?ってレベルの人いっぱい。
それも40代50代でだよ。
+36
-1
-
87. 匿名 2021/06/18(金) 11:21:07
底辺高校だったけど、ヤンキーやギャルは高校に入るとわざと手を抜いてる感じだったな
遊びたいから緩い底辺高校を選んだって感じ+18
-0
-
88. 匿名 2021/06/18(金) 11:21:13
>>42
毒親だと子供の頭が悪くなくて勉強への意欲があっても潰される。+5
-5
-
89. 匿名 2021/06/18(金) 11:21:59
>>5
生き抜く能力のほうがない私はどうしたら…+35
-2
-
90. 匿名 2021/06/18(金) 11:22:19
>>1
バカだからレジの支払い遅い!
小銭たまる!+28
-0
-
91. 匿名 2021/06/18(金) 11:23:30
たぶん運動部の推薦だと思うけど、めちゃくちゃ勉強できなくても大学入れる子は入れてたよ
+9
-0
-
92. 匿名 2021/06/18(金) 11:23:31
>>78
私もバカだから低学年は一緒に宿題で勉強してた
子供にはお母さんにも教えてねって先生の言うことよく聞いてきてってお願いしてたよ、笑
高学年になる頃には無理だったので塾に行かせた
子供は普通程度に勉強出来たから良かった+23
-0
-
93. 匿名 2021/06/18(金) 11:23:39
>>79
あれおおまかな位置関係は覚えるけど
県の形とかは覚えられないよね+11
-0
-
94. 匿名 2021/06/18(金) 11:24:05
理数系が極端にできなくて
他の教科を必死に頑張ってギリギリ標準点を
保ってるようなタイプでした。+14
-1
-
95. 匿名 2021/06/18(金) 11:24:05
>>7
小6の時に三者懇談で言われました。知能検査では全く問題がないのにねぇ、と。この学期の算数は初めての1(5段階評価)で、この時の成績表は12345全てありました。+23
-2
-
96. 匿名 2021/06/18(金) 11:25:22
>>83
積分学だった気がする。+8
-0
-
97. 匿名 2021/06/18(金) 11:25:39
何%の塩水の問題が全くわからなかった+30
-0
-
98. 匿名 2021/06/18(金) 11:26:08
引き算は未だに指を使わないとできない+5
-1
-
99. 匿名 2021/06/18(金) 11:26:10
ほらな
またモラハラ毒親育ちの悲劇のヒロイン始まった
予想通り
やっぱり自分は勉強できたのにって自慢を混じえるのな(笑)
勉強できたらトピズレだし
じゃあ奨学金で大学行けばよかったんじゃん+16
-1
-
100. 匿名 2021/06/18(金) 11:26:24
ちょっとだけクイズとかで、賢い扱いされている地元出身のあるお笑い芸人の、
出身高校の偏差値40位なんだよね。
頭の回転いいし、勉強が全てじゃないなーて見てて思う。+10
-0
-
101. 匿名 2021/06/18(金) 11:26:25
>>37
わかる。親がやる気を削いでたわ。+8
-4
-
102. 匿名 2021/06/18(金) 11:26:39
算数、数学苦手+23
-0
-
103. 匿名 2021/06/18(金) 11:26:51
>>95
5があることを言いたかったのね+6
-8
-
104. 匿名 2021/06/18(金) 11:27:39
ゼロ点とか余裕だよww
なんとか生きてるよw
数学なんて訳わからない+22
-0
-
105. 匿名 2021/06/18(金) 11:28:02
>>1
実際マイナス5点とかあるんかな?+6
-0
-
106. 匿名 2021/06/18(金) 11:28:18
簡単な足し算引き算でさえ出来なかった。でも「そろばん」はできたんだよね。
通信簿なんか1、2、1、2だったよ。+4
-1
-
107. 匿名 2021/06/18(金) 11:28:19
>>71
私も0点取ったことある
女子校の文系だけど特進クラスだったのに20点30点の子も多かった…先生の教え方が悪かったのか?
中学から苦手意識ついてもう全くダメだった+16
-1
-
108. 匿名 2021/06/18(金) 11:29:22
>>89
どうすればいいかって?
このトピから出て行ったら?
ここ勉強出きない人のトピだから+3
-9
-
109. 匿名 2021/06/18(金) 11:29:27
>>90
定期的にセルフレジで小銭をきれいに使っています+10
-0
-
110. 匿名 2021/06/18(金) 11:29:40
あまりにも数学ができなくて中学の時数学教師から「高校でも数学はあるんだぞ?」と真顔で聞かれたな。
高校でもまったく理解が追い付かなくて普段陽気な教師から真剣に諭されたことある。私だって理解はしたかったけど、まず何が分からないか分からないから質問のしようがなかったんだよ。。+37
-0
-
111. 匿名 2021/06/18(金) 11:31:13
>>106
えっ
ソロバンできると算数数学は得意なイメージ。
ソロバンできるだけでもかっこいいなー+8
-0
-
112. 匿名 2021/06/18(金) 11:31:42
国語はまだいいんだけど
算数、数学が苦手。九九覚えるのクラスで最後で泣いた記憶がある。
子どもが小学生になった。
分数が出来ないから教えられないと思う…
おつりの計算とか暗算も苦手だから小銭が沢山あるよ+15
-0
-
113. 匿名 2021/06/18(金) 11:31:54
>>108
勉強もできないんですが…+12
-0
-
114. 匿名 2021/06/18(金) 11:32:08
算数苦手。小学生の頃、割り算の筆算をやる大事な時期にはしかと水疱瘡に連続で感染し1ヶ月ほど欠席してたら全然知らないことやってて泣いた。昭和の頃は休んだ子へのフォローもなく、家庭の事情で塾も行っていなかったし親も教えてくれなかったのでそのまま分かってるふりしなから大人になり、子どもが小学生になった今、色々学び直せて楽しい!現在5年生で最大公約数や最小公約数、少数の掛け算、割り算などを子供と一緒に勉強中。当時より学校の教え方も上手いので子供に教えてもらって楽しんでます。+8
-0
-
115. 匿名 2021/06/18(金) 11:32:40
バカの上になまけもの。就職する気はさらさらなかったから何も困らないんだな。専業一択だったし。+17
-1
-
116. 匿名 2021/06/18(金) 11:32:40
>>109
その手があった…バカだからセルフでも一生懸命計算して払ってたw+5
-0
-
117. 匿名 2021/06/18(金) 11:33:18
数学はこの段階で躓いたら
次から教わること全部わからないってのはあるよね
掛け算割り算で躓くと、そこからどんな公式を習っても解けないみたいに+14
-0
-
118. 匿名 2021/06/18(金) 11:33:21
算数が壊滅的。常に小学生時代から赤点で就職試験の簡単な筆算が全く埋まらず落ちた事ある。
子供の算数は2年生までしか教えられない。
でも文系科目は模試でもかなり上位だったから、普通に都内の文系の大学に進めた。
入試が英,国、社のみだったので。+4
-0
-
119. 匿名 2021/06/18(金) 11:33:27
>>5
勉強が出来ない人の中には生きる力も弱めな人が一定数いる…+74
-0
-
120. 匿名 2021/06/18(金) 11:33:43
>>27
カレンダーを書くだけ偉いわ。。+20
-0
-
121. 匿名 2021/06/18(金) 11:34:39
>>50
古代の象形文字か何かですか?+16
-0
-
122. 匿名 2021/06/18(金) 11:34:45
>>34
前にガルで知ったんですけど
「とある男が授業をしてみた」のチャンネルです
情熱大陸に出たようなので有名な方なのかな?
ホワイトボードの文字も綺麗で見やすいです
中高生、他の教科もあるみたいです
基本から色々忘れてますがちょっとずつステップアップしたいな…笑
+28
-0
-
123. 匿名 2021/06/18(金) 11:35:20
>>116
小銭入れ👛
ぱんぱんになる前に
じゃーってしてこよう+5
-0
-
124. 匿名 2021/06/18(金) 11:35:46
>>8
私0点取った事ある+26
-0
-
125. 匿名 2021/06/18(金) 11:35:50
中学3年の時に数学で2点。
行きたかった高校にも行けず最低レベルの公立高校に行ったものの遊びにバイトに明け暮れとりあえず卒業だけした。
専門学校に行って国家資格は取ってやりたかった仕事はできてるけど、今思えばもっと勉強してれば良かったと思う。
だから中田のYouTube見たりしてる笑
+2
-5
-
126. 匿名 2021/06/18(金) 11:36:09
みんなぜーったい私より頭良い!!+19
-0
-
127. 匿名 2021/06/18(金) 11:36:42
勉強できないのに無理矢理勉強したから勉強嫌い
受かったら高校では自分にはレベル高くて真中以下
数学で赤点取るはめに学生時代やり直したい+6
-0
-
128. 匿名 2021/06/18(金) 11:36:52
歴史の授業も、何年に誰が何したとかいちいち覚えてらんないよ
こちとら自分が先週なにしてたかも覚えてないのに他人のことまで面倒みきれないよ+35
-0
-
129. 匿名 2021/06/18(金) 11:37:33
>>49
少子化だから、どこでもいいなら行けるよ+1
-0
-
130. 匿名 2021/06/18(金) 11:37:43
>>123
感激すらしましたw地味にストレスだったんだよね
教えてくれてありがとう(^з^)-☆+1
-0
-
131. 匿名 2021/06/18(金) 11:37:49
>>7
数学と英語のみ偏差値30だった。
他は60とかあったので、どうにか数英を避けて私立の大学に進んだ感じ…+58
-1
-
132. 匿名 2021/06/18(金) 11:38:11
壊滅的に頭が悪いから、一浪してやっとMARCHのある大学にしか合格できなかった。+0
-8
-
133. 匿名 2021/06/18(金) 11:38:30
>>50
脳が拒否する+33
-0
-
134. 匿名 2021/06/18(金) 11:38:49
周りのママ友が頭キレる人ばかりで居ずらい
合わない
向こうもそう思ってると思う+11
-0
-
135. 匿名 2021/06/18(金) 11:38:52
>>89
ガルちゃんにコメントできるってことはネットに繋げるだけの財力を持っていて、携帯またはパソコンを触れる能力がある
金持ちにはならずとも生きられるよ+12
-0
-
136. 匿名 2021/06/18(金) 11:39:28
>>96
ありがとう‥‥積分学がわからない
調べて見るけどたぶん理解できない
でもありがとう+22
-0
-
137. 匿名 2021/06/18(金) 11:39:52
>>124
私も+12
-0
-
138. 匿名 2021/06/18(金) 11:40:13
>>133
わかる、松丸君のとか解こうとすると脳みそが痒くなるから番組変えるw+9
-0
-
139. 匿名 2021/06/18(金) 11:40:15
>>105
小テストだけど、0点な上に、名前書かずに-10点されて
「-10」って書かれたテストは見たことがあるよ。
友達のテストだったけど、流石にひどいって皆で笑ってしまった。+17
-0
-
140. 匿名 2021/06/18(金) 11:40:35
>>18
私もわからん。何であれ+になるんだろ。+23
-0
-
141. 匿名 2021/06/18(金) 11:40:45
私はなんかアニメやマンガで「勉強はつまらないもの、みんな勉強が嫌い」みたいな刷り込みをされてしまった気がする。勉強したら損、くらいの勢いで遊んでばかりいたらバカな大人になった。本来学ぶことは楽しいことのはずなのにね。余談だけどうちの大正生まれの祖母は子供の頃から親の仕事を手伝っていて小学校もほとんど行ってなくて文字の読み書きも出来なかったの。私が子供の頃は一緒に文字の練習したりして楽しかったな。もっとわたしが頭良かったら色んなこと教えてあげれたのになー+7
-2
-
142. 匿名 2021/06/18(金) 11:41:04
>>50
これだけの長い公式を必要とする計算って何に使うの?
大量破壊兵器でも作るの
+24
-1
-
143. 匿名 2021/06/18(金) 11:41:49
>>50
この長いSってなんか名前あったっけ?+2
-0
-
144. 匿名 2021/06/18(金) 11:42:04
おすすめの勉強系YouTubeあるかなー
英語喋れるようになりたい+2
-0
-
145. 匿名 2021/06/18(金) 11:42:09
>>136
社会に出たら全く使わないし、これを面白いというのは数学者だけだと思うので大丈夫🙆♀️+15
-1
-
146. 匿名 2021/06/18(金) 11:42:38
>>134
そう…優秀な人多いよね。仕事も看護師や薬剤師、公認会計士、教師など、赤ちゃん時代に出会った人がみんな立派な仕事に復職してる。パート主婦の自分は肩身が狭いよ+9
-0
-
147. 匿名 2021/06/18(金) 11:43:17
>>112
方丈記の冒頭文を覚えるの嫌だったの思い出した+2
-0
-
148. 匿名 2021/06/18(金) 11:43:21
>>23
のび太はどこで変わるんだろ
それを知りたい+23
-0
-
149. 匿名 2021/06/18(金) 11:43:38
>>143
∫
インテグラルだった
高校でやるんだっけ?+6
-0
-
150. 匿名 2021/06/18(金) 11:44:09
勉強ができなかった人は、どんな趣味を楽しんでいますか?+6
-0
-
151. 匿名 2021/06/18(金) 11:44:14
>>108
仲良くしようよ+6
-1
-
152. 匿名 2021/06/18(金) 11:44:34
>>128
歴史嫌いだった、まだ得意じゃないけど地理のほうがマシ、マシね+10
-0
-
153. 匿名 2021/06/18(金) 11:44:46
勉強が好きで成績は良かったけど親がエリートを嫌いなタイプだから「勉強ができる奴にロクな人間はおらんっ!!」って邪魔された。+0
-6
-
154. 匿名 2021/06/18(金) 11:45:19
>>145
優しい😭+14
-0
-
155. 匿名 2021/06/18(金) 11:45:31
>>49
二浪でようやくMARCH。
しかも補欠の繰り上がり。
頭良い人や普通の人は現役で同等かそれ以上のところに行けると思うと病む。+7
-5
-
156. 匿名 2021/06/18(金) 11:46:11
>>19
私も。
そもそも分からないところが分からない…
+35
-0
-
157. 匿名 2021/06/18(金) 11:46:28
>>128
笑ったw+13
-0
-
158. 匿名 2021/06/18(金) 11:46:40
>>140
もう分からないから、とりあえず(−)の棒同士を重ねたら(+)になるからかな、と自分の中で答えを出した+35
-0
-
159. 匿名 2021/06/18(金) 11:47:10
>>150
漫画、ドラマ、映画、アニメ、スポーツテレビ観戦、ショッピング、食べることかな
なんとか春樹とか読めないよ+2
-0
-
160. 匿名 2021/06/18(金) 11:47:39
>>49
頭良くても授業態度が悪かったり先生に嫌われてたら通知表が2になることあるよ。+8
-0
-
161. 匿名 2021/06/18(金) 11:47:58
>>158
そうそうあー決まりなんだ的な+12
-0
-
162. 匿名 2021/06/18(金) 11:48:10
>>16
本当のバカは灯台しかいけません。+40
-2
-
163. 匿名 2021/06/18(金) 11:49:16
>>16
東大に行けた時点で既にバカじゃないので矛盾しまくっていて草+45
-0
-
164. 匿名 2021/06/18(金) 11:49:42
>>105
名前にバツされてるからね。+4
-0
-
165. 匿名 2021/06/18(金) 11:50:28
>>6
オール2✌️+8
-0
-
166. 匿名 2021/06/18(金) 11:50:35
親に無理やり勉強教えられてる時はめちゃくちゃ怖かった
(しかも怖くて頭に入らないから教えられてる自覚もない)
ここはわかるか?
↓
わからん…
↓
じゃあここはわかるか?わからんのか?
↓
…わからん…
↓
机バアアァァァーーーーン‼️
ってされてた( ;∀;)+17
-0
-
167. 匿名 2021/06/18(金) 11:51:13
志だけは高いけどテストとかいい点取れなかったんだよ
同級生に嫌いな人間がいてね、そいつに邪魔されて勉強もできなかったんだよね
学校さえなければ家庭学習でテストの点とれてたら間違いなくいい点とれてた。+1
-2
-
168. 匿名 2021/06/18(金) 11:51:27
>>162
座布団イチマイ!+9
-1
-
169. 匿名 2021/06/18(金) 11:51:31
英語は覚えたかったな
洋画を吹き替えなしで観て理解出来たら楽しそう+5
-1
-
170. 匿名 2021/06/18(金) 11:51:50
>>150
献血と切り絵です。+4
-0
-
171. 匿名 2021/06/18(金) 11:52:35
>>109
お金いれたら計算してくれるから楽だよね+4
-0
-
172. 匿名 2021/06/18(金) 11:52:54
>>166
わかんないんだから仕方ないのにね( ;∀;)+12
-0
-
173. 匿名 2021/06/18(金) 11:53:37
みんな中学の時学年で下から何番目だった?グラフみたいなの配られて見たら下から数えた方が早かったw
もともと高校行くきなかったから勉強してなかったのもあるけど。ちょっとショックだったw
勉強出来なかった人の今の職業聞きたい!+10
-0
-
174. 匿名 2021/06/18(金) 11:53:47
因数分解できないけど高校行けました!
高校のテストは10点以下常連、ノート提出か補習でカバーしました!
掛け算は逆にしないと分からなくなる時があります!
6の段と9の段が危ういです!
ルートとパイがさっぱりです!!
一夜漬けでサインコサインタンジェントの時に頑張って100点取りました!
でも、今ではそれがなんの役に立つのか思い出せません…。
ここに居る子は勉強できなくても、やればできる子なんだよねー!!+16
-0
-
175. 匿名 2021/06/18(金) 11:53:56
本を読むのが好きで、座っていられるのが苦じゃなかったから勉強は普通だったけど、なんていうか地頭は悪かった気がする。
理解力が悪くていつも居残り組だった。公立小学校で塾へ行ってやっとオール3みたいな。+0
-0
-
176. 匿名 2021/06/18(金) 11:54:13
>>7
同じタイプかも。
英語とかは5なのに数学は1+30
-1
-
177. 匿名 2021/06/18(金) 11:55:45
>>168
次は頑張ります!+7
-0
-
178. 匿名 2021/06/18(金) 11:56:11
>>1
アラサーだけど、未だに歴史と地理が分かってない。
日本地図もあやふや。+42
-0
-
179. 匿名 2021/06/18(金) 11:56:18
>>150
お絵描き
V系バンドのおっかけ
バンドでギターボーカル
小説執筆
食べることと寝ることが一番好きー♡+2
-0
-
180. 匿名 2021/06/18(金) 11:56:19
>>128
ほんと、昨日何食べたかも思い出せないのに+11
-0
-
181. 匿名 2021/06/18(金) 11:56:59
>>18 >>140
それ、たぶん深く考えちゃダメなやつだと思う。
理解できないならそういうものなんだという程度の解釈に留めて次に進む能力も勉強にはまた必要。
数学者目指してるわけでもないんだから数学の公式とかも成り立ちや意味までただの中高生が理解する必要なんて全くなくて、重要なのはそういうところを理解することではなくその公式と公式の使い方や問題パターン等を覚えて使いこなすこと。
人によっては数学も暗記と言われる理由はそういうことですね。+48
-0
-
182. 匿名 2021/06/18(金) 11:56:59
>>175
私も本を読むのが好きで記憶はできるんだけど、覚えた数式の使い方が分からないんですよね。+0
-1
-
183. 匿名 2021/06/18(金) 11:57:02
算数と数学だけ壊滅的に出来ない。
中学のときクラスで私一人だけ数学がどんなに頑張って勉強しても全く出来なくて、放課後に先生に個別で教えてもらったり、授業では私だけ当てないように(当てても答えられないから)してくれてた。
高校ではテストで0点とって補習になって進級が危なかった。
数学が出来ないせいでかなり苦労したから、本当に生まれ変わったら数学が得意な人になりたいって思う+12
-0
-
184. 匿名 2021/06/18(金) 11:57:35
>>119
どきっ。それ私のこと...🛌+29
-0
-
185. 匿名 2021/06/18(金) 11:58:09
>>152
オーストリアとオーストラリアの区別がつかないよ。
オーストラリアの人と話してて(もちろん日本語)、まさか季節が逆とか初めて知ったよ。
日本海と太平洋と大西洋の区別もついてなーいw+5
-0
-
186. 匿名 2021/06/18(金) 12:00:09
>>142
兄は航空計器系の研究開発の仕事就いてるけど、実際にこんな計算を毎日仕事でしてるらしい。
私は高校数学の積分の授業でやったっきり、人生で1度も使ったことない。+22
-0
-
187. 匿名 2021/06/18(金) 12:01:40
>>61
うちのバカ高校は教科書の持ち込みが自由な試験もあったよ
試験中に教科書で調べてもいいから解けということらしい
カンニングペーパーを作ることすらできない筋金入りのバカ集団には
教科書の持ち込みを許可してさえ平均点は低いのでしょう+27
-0
-
188. 匿名 2021/06/18(金) 12:05:30
>>122
私もみてる!
小2の子にうまく算数教えられなくて+14
-0
-
189. 匿名 2021/06/18(金) 12:05:33
>>13
OLしてるだけで充分だよね。+17
-0
-
190. 匿名 2021/06/18(金) 12:06:19
>>16
私は勉強しか出来ないバカと言われてたよ+0
-1
-
191. 匿名 2021/06/18(金) 12:07:52
ひとつの事を解決しないと次に進めないんで、集中して授業を聴いてても気になる箇所があったら何故そうなるのかに意識が向いてしまう
先人方がコツコツと積み上げてきた知識を無視して、小一時間の授業内で根本なんか探れる筈もなく、気付いた時には授業も置いてけぼり+6
-0
-
192. 匿名 2021/06/18(金) 12:09:25
>>122
ありがとうございます。とりあえず、ノートとドリル買って頑張ってみます。+5
-0
-
193. 匿名 2021/06/18(金) 12:09:49
子供できたら大学4年には行かせたい
お金がないから行かせなくて良かったとか女だから大学行くなんて生意気とかろくな人間にならないとか
そんなこと子供の代には言いたくない
教育に力いれてやりたい
学歴で妬んでる人にはなりたくない+15
-0
-
194. 匿名 2021/06/18(金) 12:11:24
🙋♀️+1
-0
-
195. 匿名 2021/06/18(金) 12:11:45
>>7
数学って他の教科より多岐に渡った能力を問われる。
記憶力、計算力、読解力、想像力、情報処理能力、説明力とか、総合的な思考力でもって処理を同時進行しないと解けない。
子供の学力をなんとかしないと、と焦ってヒントを探しにきた母です。もう怒らずに解決したい。+51
-1
-
196. 匿名 2021/06/18(金) 12:14:48
>>61
わかるw
答えくれるよね
+3
-0
-
197. 匿名 2021/06/18(金) 12:18:01
>>1
数字が苦手ですね…。今でも仕事で数字の並んだExcelの帳票を見ると気分が悪くなります。
あまりにも出来が悪すぎて親とかきょうだいに勉強を教えてもらっても、分からない人の気持ちが分からない人が教えると悪循環でますます勉強(算数)が嫌いになりました。+31
-0
-
198. 匿名 2021/06/18(金) 12:19:25
>>7
数学を理解できたことがない。
まじで分からない。
英語や社会は普通だった。
頭良い友達は「数学ほど簡単なものないのに。」って言ってて化け物に見えた(褒めてる)+92
-0
-
199. 匿名 2021/06/18(金) 12:19:52
私同志社大学出てるから、学歴としてはまあまあ頭いいように思われるけど、高校の数学が壊滅的にできなくって大学は私立文系一択でした。文系科目はあんまり勉強しなくても全国模試で偏差値70とかなのに、数学は赤点スレスレ。いま子供が中学受験の勉強してるけど算数教えられない( ; ; )算数は数学得意なダンナにまかせてます。+2
-11
-
200. 匿名 2021/06/18(金) 12:23:13
>>130
極端にたくさん入れるとエラーになるから気をつけてね
ちなみにうちの店は一種類につき20枚までって決まってる(非常識な人いるから張り紙してある)
お財布にあるのをザザッと入れるくらいならいいけど、家に貯まってたのをビニール袋に入れて来ましたみたいなのは間違いなく迷惑よ+3
-0
-
201. 匿名 2021/06/18(金) 12:24:31
追試にまったく同じ問題が出ても赤点とって追追試を受けさせられるような
何人かは進級できない学校でした
学校に来なくなるのも多いし、1年での脱落率がヤバい
始業式の1日しか来なかったクラスメイトもいた+7
-0
-
202. 匿名 2021/06/18(金) 12:27:08
>>106
そろばんが出来るのに足し算引き算ができないの?
どういうことなの…
そろばんできる人は暗算ができるでしょ?
高校の購買でみんなに頼りにされてたよ+2
-3
-
203. 匿名 2021/06/18(金) 12:29:29
例えば算数数学が苦手でも他の科目が得意でカバー出来てるなら、勉強が苦手って感じしないや。
私の場合、どの科目も出来ない。
音楽も体育もダメ、何でこんなに出来ないんだろう…+5
-0
-
204. 匿名 2021/06/18(金) 12:29:54
>>10
数字!
そういうとこだゾ!+43
-0
-
205. 匿名 2021/06/18(金) 12:30:32
学生の頃頭悪くても何も問題ない!とか思ってたけど
調理師になって分量の計算とか出来なくて結構困ってる…
小学生のドリルやってる、、、+3
-0
-
206. 匿名 2021/06/18(金) 12:31:31
>>26
掛け算の後半の方がわかりやすい。
スマホで「掛け算」打つと「の順番」と出て来る。
「九九」と打つと「を覚える」と出て来る。
「の順番」が出て来るのだから「掛け算の後半」の方が正しいと思う。
九九は、掛け算のあだ名だよ。+1
-20
-
207. 匿名 2021/06/18(金) 12:31:49
>>200
無制限のレジでお世話になっていますので
ご安心ください+0
-2
-
208. 匿名 2021/06/18(金) 12:35:47
高校の時世界史をとってたはずだが何の記憶もない+5
-0
-
209. 匿名 2021/06/18(金) 12:37:24
>>10
ベネッセの通信模試の数学なんて点取った覚えないよwいつも0点w+3
-0
-
210. 匿名 2021/06/18(金) 12:38:00
算数の段階で躓いたわ
一度なんでこうなるの?どういう理屈?なんで?どうして?ってなると、もうそこから先へ進めなくなっちゃって
そういうものだから、で納得しろよ自分!と思いつつも駄目でした+11
-0
-
211. 匿名 2021/06/18(金) 12:38:30
>>206
ごめんバカだからよくわからなかった+3
-0
-
212. 匿名 2021/06/18(金) 12:39:49
進研ゼミやってた時だけ点数上がってそれだけで頭良くなった気がしていたな
+3
-0
-
213. 匿名 2021/06/18(金) 12:40:35
数学と理科、社会に古典
意味わからん
だから何だっ?って思うw
0点ばっかりだったわ
英語も「私は日本人なんだけど」
と思ってた。今も思ってるw+3
-1
-
214. 匿名 2021/06/18(金) 12:40:37
>>165
友達がアヒルの大行進って言ってたの思い出した+3
-0
-
215. 匿名 2021/06/18(金) 12:44:09
>>210
理解力もなければ暗記もできないんだよね。
昔は考えすぎるタイプだからできないんだと思っていたけど、多分違うんじゃないかと最近気づいた。+6
-0
-
216. 匿名 2021/06/18(金) 12:45:54
>>182
いや、数式の使い方は分かりますよ。
ただ理解力が悪いので、応用問題となるとすぐにつまづきました。+4
-0
-
217. 匿名 2021/06/18(金) 12:46:02
>>148
あれだけ0点とってたのにね+25
-1
-
218. 匿名 2021/06/18(金) 12:46:50
小学校までは勉強できた。
なんとなく、中学受験に受かったら親が認めてくれるとかうるさくならないとか思ってた。
実際は私立中に入っても親がうるさいなと思った(まぁ、中学生なんてまだ子供だし親がうるさくて当たり前だけどね)
高校受験ないし、勉強する気なくなって
成績もよくなくて
そのままズルズル6年間過ごしちゃった…+2
-2
-
219. 匿名 2021/06/18(金) 12:47:19
英語の筆記体が描けないし
英語の読みがローマ字になって
書けないし読めない
説明も出来ないぐらいだよ+5
-1
-
220. 匿名 2021/06/18(金) 12:47:28
>>26
横だけどこのコメに何故マイナスがつくのか不明だわ+7
-7
-
221. 匿名 2021/06/18(金) 12:48:52
消費税の計算が出来ないから
安いか高いか分からない+9
-1
-
222. 匿名 2021/06/18(金) 12:56:33
>>215
それもあるのかも?
昔から文系科目と理数系科目とでは成績の差が極端過ぎて、今にして思えばLDに片足突っ込んでたんじゃないかという気はしてる+2
-0
-
223. 匿名 2021/06/18(金) 12:57:22
小数点のかけ算からあやしくなってくる+3
-0
-
224. 匿名 2021/06/18(金) 12:58:57
まじめに0点取った事があります+5
-0
-
225. 匿名 2021/06/18(金) 13:00:00
>>1
私も周りに居ないと思う
小5の息子の算数もうお手上げ🤷♂️+17
-2
-
226. 匿名 2021/06/18(金) 13:01:20
>>30
おもいでぽろぽろのせいで余計にわからなくなった
りんご見るたび思い出す+5
-0
-
227. 匿名 2021/06/18(金) 13:02:37
>>219
筆記体って習わなくなったんだよね?
私も苦手だったなー+4
-0
-
228. 匿名 2021/06/18(金) 13:05:47
>>70
私もそれで困ったし教えられないの情けないからYouTube観て復習したら、あー!そうだった!懐かしい!って思い出せた。
なのに当日、甥っ子目の前にして教え始めたらまたすぐ忘れてた…
今はもう分数の足し算さえ忘れた…+3
-0
-
229. 匿名 2021/06/18(金) 13:07:29
>>10
でしょうね笑+6
-0
-
230. 匿名 2021/06/18(金) 13:07:59
>>221
消費税の計算しやすいから10%で止まってほしいと思う+3
-0
-
231. 匿名 2021/06/18(金) 13:08:25
>>86
ちなみに、インドの首都ってどこなのですか…?ニューデリー?+2
-0
-
232. 匿名 2021/06/18(金) 13:08:27
>>227
そうなの?
自分の名前も書けないかも?!+0
-0
-
233. 匿名 2021/06/18(金) 13:10:00
小学生の頃、算数の問題解けなくて授業中泣いてた笑+0
-0
-
234. 匿名 2021/06/18(金) 13:10:24
>>231
インドの首都たしかにわからない
+9
-1
-
235. 匿名 2021/06/18(金) 13:11:32
勉強自体が苦手
覚えても忘れる
小学校レベル+5
-0
-
236. 匿名 2021/06/18(金) 13:18:57
容量が大きな洗剤と
容量が小さい洗剤の
値段差が計算出来ないから
安いんだか高いんだか分からない
+2
-0
-
237. 匿名 2021/06/18(金) 13:22:42
>>214
1がえんとつで、2がアヒルなのよね
昭和のマンガやドラマであった+5
-0
-
238. 匿名 2021/06/18(金) 13:25:11
>>231
はい、ニューデリーです。
これはちょっと難易度上がって間違う人いるだろうという想定内の問題ですけど、
それにしても「ぺきん」は酷くないですか?+17
-0
-
239. 匿名 2021/06/18(金) 13:28:43
>>61
>>196
>>187
分相応にそういう高校へ行っておけば、トピタイにはならずに病まずに人生失敗してなかったんだろうな
分相応は大事だね+7
-0
-
240. 匿名 2021/06/18(金) 13:32:01
>>214
面白いからメモっとこ🦢w+5
-0
-
241. 匿名 2021/06/18(金) 13:33:25
>>210
図形、比例反比例、早さと時間嫌い
子供の方がもはや頭良い、母は抜かされました
+3
-0
-
242. 匿名 2021/06/18(金) 13:33:39
>>194
(=´∀`)人(´∀`=)+1
-0
-
243. 匿名 2021/06/18(金) 13:38:45
学びたいと思った時が学び時
+2
-0
-
244. 匿名 2021/06/18(金) 13:39:14
>>242
これも数式に見えて嫌+1
-0
-
245. 匿名 2021/06/18(金) 13:39:28
>>237
童謡で歌詞にあるよね+1
-0
-
246. 匿名 2021/06/18(金) 13:39:29
掛け算がぱっと出てこない、買い物の計算が遅い。小2の息子のほうがずっと早いです。すでに宿題の丸うちが恐怖です。+1
-1
-
247. 匿名 2021/06/18(金) 13:40:03
英語がまったく出来ません。
なんとなーく読めるけど意味が分からない。
動詞とか名詞とかなにそれ?って感じ。
+2
-0
-
248. 匿名 2021/06/18(金) 13:41:49
>>148
お母さんが頭良い時点で遺伝的にのび太は地頭自体は悪くないうえにむしろポテンシャル高い方だろうから、勉強をやってないだけorやり方が悪かっただけだと思う。
あと、勉強ができない部類だったのにある時期から急に頭よくなるタイプもたまにいるよね。+14
-1
-
249. 匿名 2021/06/18(金) 13:42:58
598円の30%オフとかが分かんなくなる。
100円だと30円引きだから~598円だと??だいたい170円くらいかな?と100円単位で計算しないとパッとでない。+2
-1
-
250. 匿名 2021/06/18(金) 13:43:17
高校の時に目指してた点数は30点以上+1
-0
-
251. 匿名 2021/06/18(金) 13:43:52
昔はバカとかアホで済んだのに、今勉強出来ないだけで発達の問題が、、ってなるイメージ。今の子供たちがただただ可哀想。+4
-0
-
252. 匿名 2021/06/18(金) 13:44:38
>>185
日本海と太平洋と大西洋わからないわからなくても困らない
スーパーの海鮮のラベルには国名書いてくれてるから+0
-0
-
253. 匿名 2021/06/18(金) 13:47:58
>>146
そうそう、見下してくるのわかるし
+1
-0
-
254. 匿名 2021/06/18(金) 13:48:05
>>251
昔はバカとかアホで済まあれてたけど、もしかしたら自分は発達だったのかな
当時それを誰かが指摘してくれたら勉強できないことで悩まなかったのにな
と思う+7
-0
-
255. 匿名 2021/06/18(金) 13:49:50
長ったらしい文章よむの苦手で、暗記も苦手でした。
高校はバカ学校だったから社会科のテストで日本地図が出されて都道府県かけってやつで全然かけなくて赤点だった。
いまだに日本地図、全部書けない。住んでる周りの県と旅行した県、北海道沖縄くらいしか書けない。+3
-0
-
256. 匿名 2021/06/18(金) 13:51:37
>>254
軽度の知的障害かもよ。ボーダーとか。
+3
-0
-
257. 匿名 2021/06/18(金) 13:53:42
>>256
病名ついたら自分がこうなのは仕方がないんだって諦めもつくのに
勉強できないと怠けているように思われるだけだもの+2
-0
-
258. 匿名 2021/06/18(金) 13:59:09
>>257
今からでも調べられるよ。+2
-0
-
259. 匿名 2021/06/18(金) 14:02:36
小3の子の算数問題(億の単位のやつ)私もわからなくて教えられなかった
一、十、百、千、万、十万、百万までしか数えられなくて、その次なにかな…難しい…って子供と悩んでたら、旦那が「マジでわからんの?ネタ?」ってすごい顔して言ってきた
旦那の説明でなんとか理解できたけど…笑+6
-0
-
260. 匿名 2021/06/18(金) 14:11:38
>>50
楽譜に見える…+15
-0
-
261. 匿名 2021/06/18(金) 14:12:30
>>1
テストで0点をとり、同じテストでまた再テストされまた0点とった私が来ましたよw
+16
-0
-
262. 匿名 2021/06/18(金) 14:14:31
小学生までは勉強できたけど中学から難しくなって全然理解できなくなった…
高校なんて提出物出せばギリ赤点免れるオマケがあっても赤点取ってたレベルで情けないわw
でも不思議と仕事は覚えるの早い…なんでだろ+3
-1
-
263. 匿名 2021/06/18(金) 14:16:37
>>262
羨ましい。なんの仕事をしていますか?+1
-0
-
264. 匿名 2021/06/18(金) 14:16:50
算数はちょっとした計算ミスでいつまでも答えにたどりつけない、時計読めない、暗算できない、楽器ダメ、運動ダメ、給食たべきれない、でオマエはダメだと言われに通うような小学生だったな。いま思うと、学習障害気味だったかな。+10
-0
-
265. 匿名 2021/06/18(金) 14:22:35
>>238
ニューデリー知らないあまり聞かない+4
-2
-
266. 匿名 2021/06/18(金) 14:48:54
小中高 体育、音楽も含め全教科 全くダメだった。
それでもよく、生きて行けるなって位の人間です。
唯一高得点だったのが高校の修学旅行の自由課題だけ。+2
-0
-
267. 匿名 2021/06/18(金) 14:53:26
娘小6が体育以外のテストは高得点です。
なんで赤点だらけの私から見たらこんな天才が産まれたのが不思議。+1
-1
-
268. 匿名 2021/06/18(金) 14:57:15
授業は上の空。
みんな、理解してるのに自負だけ理解できない。
給食しか楽しみなかった。+9
-0
-
269. 匿名 2021/06/18(金) 14:58:30
>>78
きっと落ち着いてやれば出来ると思う。+1
-0
-
270. 匿名 2021/06/18(金) 14:58:33
分数から出来ない
筆記体書けない+1
-0
-
271. 匿名 2021/06/18(金) 15:22:57
スーパーの割引シールってさ、『半額』だけでいいと思わない?
10%、20%、40%引きってもう数学嫌いな私にはいじめでしかない…+5
-1
-
272. 匿名 2021/06/18(金) 15:23:36
>>1
掛け算、怪しいアラフォーです。
知的障害グレーゾーンのADHDと
最近、知りました。
子供に勉強を教えれないのが今から不安です。+20
-3
-
273. 匿名 2021/06/18(金) 15:25:44
勉強も出来なければ(通信簿はオール2)、運動も苦手だった。
マラソンはドベから3番目だし、体力測定も下の下。
バスケとかバレーとか本当に地獄。
運動神経マイナス×協調性ゼロだからボス猿女に嫌われてたなー。
好きな科目、美術か保健くらい。+5
-0
-
274. 匿名 2021/06/18(金) 15:29:59
算数の証明問題はいつも0点でした( ˘ᵕ˘ )+6
-0
-
275. 匿名 2021/06/18(金) 15:31:42
>>24
リアルバカ女じゃんw+5
-6
-
276. 匿名 2021/06/18(金) 15:32:33
>>275
あっ!ごめん分かりづらいね💦
バカ女ってめちゃイケのね!+0
-2
-
277. 匿名 2021/06/18(金) 15:32:46
>>173
勉強できなかった人にも色々タイプがあるからね
学校の勉強はできなかったけど、動作性IQ高い人は成功してる人多い
高校卒業して就職や進学したら新しく習うことばかりだからそっちではそんなに苦労しなかったり
こういうタイプは元々地頭は悪くないんだよ
やらなかっただけ
ヤンキーはこのタイプが多い
職人とか経営者や美容師や看護師になってる人多い+4
-1
-
278. 匿名 2021/06/18(金) 15:36:48
>>103
95だけど成績の上下激しかったのを伝えたかっただけですよ。+2
-1
-
279. 匿名 2021/06/18(金) 15:37:47
>>226
おもいでぽろぽろとばっちりw+0
-0
-
280. 匿名 2021/06/18(金) 15:39:39
>>238
ニューデリー合ってて良かったw
「ぺきん」ちょっとかわいいと思ってしまったw
でも40代50代の回答なんだよね?それはヤバいわ…+10
-1
-
281. 匿名 2021/06/18(金) 15:40:15
成績順位で私より下が1クラスくらいいたけど、本気で勝負したら絶対私がビリだと思う
なぜなら地頭は悪くないけど本気出していない人が1クラス近くいるから
ヤンキーがそれ
あとは本気で勉強がわからない学習障害が少数いるって感じだったな
私も数学なんて何が何やらさっぱりわからないし、勉強しても大してできなかったと思う+5
-0
-
282. 匿名 2021/06/18(金) 15:40:33
>>86
平仮名で「ぺきん」ww
何かの擬声語(擬態語?)みたいww+8
-1
-
283. 匿名 2021/06/18(金) 15:51:20
常にクラスで1番勉強できなかった!
でも何とか公立高校には入れた。
勉強は出来ないけど、頭は悪くないと思う。
だけど勉強がわからなすぎて今子ども2人いるけど、全く教えられないし申し訳ない気持ち。
子どもが困ったとき、どうしよう…
今のうちに勉強し直そうかな。+1
-0
-
284. 匿名 2021/06/18(金) 15:51:38
>>198
数学できる人にとっては考えたらわかるんだよね
公式とか知らなくても論理的に道筋を辿れば答えに辿り着く
社会科とかは覚えなきゃいけないことがあるからあまり好きじゃないみたい(もちろん数学ができる人みんながみんな文系科目が好きじゃないわけではない)+13
-0
-
285. 匿名 2021/06/18(金) 15:52:59
>>281
私看護師だけど、仕事は普通だけど勉強できない元ヤンキーの看護師結構いるよ。
その子たちは真面目にやっているよ。でもできないの。何回も何回も再テストを受けている。勉強と仕事じゃ使う頭が違うんだろうね。+5
-1
-
286. 匿名 2021/06/18(金) 15:53:13
>>28
溜めたってところで中卒感満載w
1500円の間違いじゃない?w+3
-45
-
287. 匿名 2021/06/18(金) 15:54:16
>>32
Fランなら筆記試験名前書くくらいじゃない?+2
-3
-
288. 匿名 2021/06/18(金) 16:09:21
>>206
九九は掛け算のあだ名だよなんていかにもバカに対する言い方w
初めて聞いたわ+8
-0
-
289. 匿名 2021/06/18(金) 16:11:56
>>236
比が分からないんだね+2
-0
-
290. 匿名 2021/06/18(金) 16:15:57
>>18
カナカナ…本当に苦手なんだね笑+38
-0
-
291. 匿名 2021/06/18(金) 16:32:40
>>277
動作性IQ高とか既にわからない+2
-1
-
292. 匿名 2021/06/18(金) 17:21:17
高校の時数学0点とった!
いつも1桁~20点代だったよ🥲
うちの学校は3年生は数学やんなくても良かったんだけど、先生にまさか数学とらないよね?って聞かれてちょっとショックだった笑 取る気なかったけど
日本史と現代文は模試で偏差値60以上行くこともあったけど、数学はいつも30くらいだった+5
-1
-
293. 匿名 2021/06/18(金) 17:21:32
最近旦那に「段々がる子の語彙力がなくなってきてる」と言われた。+1
-0
-
294. 匿名 2021/06/18(金) 17:36:27
中学はほとんど1だった
でも漢字だけは得意で、赤川次郎から学んだ+3
-0
-
295. 匿名 2021/06/18(金) 17:40:32
算数ができません!!
将来子どもに聞かれた時に困ると思って理系院卒の人と結婚したよ。+1
-0
-
296. 匿名 2021/06/18(金) 17:48:03
>>294
赤川次郎か…。同士よ、よく分かるわ。
おバカな人ってよく好きな作家に赤川次郎とか山本文緒をだすよね。
だってすご~く読みやすいんだもん。+1
-0
-
297. 匿名 2021/06/18(金) 17:58:28
宿題やってこいって言われてもわからないからやれなかったのよ。
これ私だけかな?+1
-0
-
298. 匿名 2021/06/18(金) 18:13:50
ヤンキーの学力あるのが悔しい!それを見てきた私です。+3
-0
-
299. 匿名 2021/06/18(金) 18:17:25
でも女性は結婚すれば養ってもらえるんだから勉強出来なくても別に大丈夫だよね。
男だったら終わりだけど。+1
-1
-
300. 匿名 2021/06/18(金) 18:17:37
みんな1日10時間勉強してたけど、わたしは3時間が限界だった。
そんなに勉強できない!+2
-0
-
301. 匿名 2021/06/18(金) 18:20:53
>>49
通知表はあまり関係ないです
偏差値が重要ですね。+3
-0
-
302. 匿名 2021/06/18(金) 18:44:18
私は算数!!四則演算がまともに出来ないです。職場で昇給試験があるんだけど、算数出来ないから受けたことないです。そんなんだから、いい年して非正規雇用で働いてます。
正社員試験も算数出来ないと受からないと思う…。ネットでたまに算数全く出来ないけど、正社員で働いてます!って人見かけるけど、どうやってペーパーテスト合格したんだろうか…。国語、常識問題ほぼ満点でも算数0点だったら厳しいと思うのにな+1
-0
-
303. 匿名 2021/06/18(金) 18:53:38
>>101
罵声浴びても伸びる子はいるよ。悔しさをバネにしてね。その子にあった指導するのが親の役目だよね?+2
-1
-
304. 匿名 2021/06/18(金) 19:07:10
算数だけ全然出来なくて…
今は暗算すら怪しいかも。
平均点が22点の算数のテストで0点取りました+1
-0
-
305. 匿名 2021/06/18(金) 19:33:54
>>286
「中卒感」なんて言葉無いぞ。語彙力乏しいな。これまで何冊本読んだ?他人をバカにしてる場合じゃないぞ。
+20
-1
-
306. 匿名 2021/06/18(金) 19:40:40
>>90
キャッシュレスにしようよ+4
-0
-
307. 匿名 2021/06/18(金) 19:49:42
>>41
ごめんなさい、読んでいてあまりにも頭にきたので(もちろん貴方にではなくご両親の考えに…)間違ってマイナス押してしまった。。。+0
-0
-
308. 匿名 2021/06/18(金) 19:51:00
小学5年~高校3年まで家庭教師つけてもらったけど
全く勉強できませんでした。大学は一応上がれたけど
結局一度も働かず専業主婦。子供たちの中学受験はものすごく困りました。でも娘は勉強できるので、遺伝子の配列が良かったのか?+4
-0
-
309. 匿名 2021/06/18(金) 19:59:12
>>181
>>18
だけどその「何故?」が気になって前に進めないんだよね
こういうものと言われてもずーっと気になって他の事が頭に入ってこないやつ+20
-0
-
310. 匿名 2021/06/18(金) 20:02:37
>>270
今の中学生、基本的に筆記体は習わないんだって!
娘の学校はやらされるみたいだけど。。+0
-0
-
311. 匿名 2021/06/18(金) 20:05:26
IQは遺伝だから本人の努力や力ではどうしようもない事を二十歳過ぎてから悟った
兎に角理数系が全く出来ない
行政書士の試験見たら数学有ったから諦めた+2
-1
-
312. 匿名 2021/06/18(金) 20:08:44
>>42
そうでもないよ。
進学校だと教育虐待受けて病んでる子結構いるよ。+10
-0
-
313. 匿名 2021/06/18(金) 20:25:54
>>198
中学までは、学校の数学が難しいと感じた事はなかった。
でも、英語がちんぷんかんぷんだった。文法理解できないから、単語だけでも覚えようとがんばりました。+7
-0
-
314. 匿名 2021/06/18(金) 20:27:31
とくに現代文が壊滅的に理解できなかった、数学と違って社会生活で影響するからつらい+0
-0
-
315. 匿名 2021/06/18(金) 20:29:18
>>248
ある掲示板で、のび太くんはあやとりや拳銃も出来るし道具の使い方も天才だから、頭は悪く無いんだよ。みたいなコメント見た。確かにそうかもね。ちゃんと勉強したら普通に出来るのかもね。+8
-0
-
316. 匿名 2021/06/18(金) 20:33:55
>>5
掛け算くらいは暗記できていないのはなんか違うと思うけどなぁ
小学校2年生だよ躓き+2
-2
-
317. 匿名 2021/06/18(金) 20:37:08
>>148
ドラえもんが帰る時だよ
その嘘ホント飲んだから帰ってきてくれたけど。
その時にやればできた+9
-0
-
318. 匿名 2021/06/18(金) 20:38:11
通信簿の平均評価2.8くらいですごく頭悪いけど、英語だけ頑張って、今大手で海外営業やってる。
+5
-0
-
319. 匿名 2021/06/18(金) 20:57:20
>>138
その状況凄くいいらしいよ。脳がウズウズするのはそれだけ頭の細胞やシナプスが活性化してる+1
-0
-
320. 匿名 2021/06/18(金) 21:15:40
>>302
筆記試験なし、あっても常識問題と簡単な漢字テストのみのとこもあるよ
それより四則演算って四文字熟語出てくるのすごい+0
-0
-
321. 匿名 2021/06/18(金) 21:17:07
英語が壊滅的で救いようがないレベル。他の科目は努力すれば何とかなるんだけど、これだけは無理。脳が拒否する。
今年で必須科目の単位全部取らないとなんだけど、英語が原因で留年しそう。
+2
-0
-
322. 匿名 2021/06/18(金) 21:17:36
7の段を言えるか怪しいんだけど💦
九九で一番こんがらがる+3
-0
-
323. 匿名 2021/06/18(金) 21:18:23
![勉強ができなかった人集まれ\(^o^)/]()
+4
-0
-
324. 匿名 2021/06/18(金) 21:25:13
>>31
私、仕事のプログラミングで使ってる。
苦手な人多くて「サインコサインタンジェントとは?」となってる人達に説明してから仕事の話をしてる+7
-0
-
325. 匿名 2021/06/18(金) 21:29:03
本読むと頭が痛くなった+2
-0
-
326. 匿名 2021/06/18(金) 21:29:45
みんな仕事はどーなの!?
わたしは出来てないよ!
暗記はわりとできたけど、今は調べたらでてくるようになったから覚えることすら出来なくなった+2
-0
-
327. 匿名 2021/06/18(金) 21:31:40
>>44
社会で生きていく力はあったんだね。
エステの仕事ってところがリアルだわ。+15
-2
-
328. 匿名 2021/06/18(金) 21:34:38
>>38
あはは🤣!
わたしも仲間です。
模試で『a』だけ正解で5点だった。
選択問題のaではなくて
( ) piece of the cake
Q( )の中は何か。的なやつだった。
+7
-0
-
329. 匿名 2021/06/18(金) 21:34:48
>>305
中卒+感が造語なんて普通なら分かるだろ
辞書に載ってない言葉はないとでも?
お前幼卒だなw+3
-14
-
330. 匿名 2021/06/18(金) 21:36:36
>>320
スマホ予測変換のおかげ+0
-0
-
331. 匿名 2021/06/18(金) 21:40:27
比較的裕福な地域に住んでるんだけど小学生がほぼ塾通いしてる。そんなに勉強して大学とかどこ受けるんだろうと気になる。+0
-0
-
332. 匿名 2021/06/18(金) 21:43:56
頭の悪い人嫌い+2
-2
-
333. 匿名 2021/06/18(金) 21:47:49
>>284
数学科の子供がいますが、社会は、倫理とか歴史とか壊滅でしたが、地理だけは少なくともセンター一門のみミス。地理は数学に近いのかなと思いました。わたしは算数の時点でよく分からないので変わった意見かもしれませんが、理系で、国公立狙うなら社会は地理かもと思いました。+2
-0
-
334. 匿名 2021/06/18(金) 21:55:43
>>31
つい辺 斜辺 隣辺 この前YouTubeで復習する羽目に。
YouTubeって便利な動画+1
-0
-
335. 匿名 2021/06/18(金) 21:55:53
>>38
あかみち?+0
-5
-
336. 匿名 2021/06/18(金) 21:56:09
>>155
2浪でもMARCH入れるなんてすごいよ!
+2
-0
-
337. 匿名 2021/06/18(金) 21:56:33
>>14
偉い
あたしもドリル引っ張ってやろうかな
捨てたかもしれないけど😅+3
-0
-
338. 匿名 2021/06/18(金) 21:57:19
高校時代、あんなに物理やったのに、1つも覚えてない
情けない+2
-0
-
339. 匿名 2021/06/18(金) 22:02:53
>>328
piece of the cake書けるのもスゴイと思ってしまった。笑+9
-0
-
340. 匿名 2021/06/18(金) 22:16:40
>>303
罵声浴びても伸びる子はいるのはわかる。でも親の罵声や暴言ってゼロとは言えないよね。
バカとかしょっちゅう言われてた+0
-0
-
341. 匿名 2021/06/18(金) 22:18:59
>>271
千円、百円、一万とかキリがよくないと無理だ+1
-0
-
342. 匿名 2021/06/18(金) 22:21:19
>>6
不登校時代はそうだったな〜。+0
-0
-
343. 匿名 2021/06/18(金) 22:21:24
金かけてもバカはバカだと思うんだけど。ソースは私。+0
-0
-
344. 匿名 2021/06/18(金) 22:22:45
新学期になり今年こそは授業についていくぞ、と思っても2.3回目からついていけなくなるので結局妄想をして授業を過ごし、数学一桁を取り続けた学生時代+5
-0
-
345. 匿名 2021/06/18(金) 22:26:39
問題の文章一行目を何回も読んでも理解できなくて問題見てるだけでうわー!!ってなりそうになって何もできない!頭悪かった+2
-0
-
346. 匿名 2021/06/18(金) 22:31:31
>>344
自分かと思ったww
新学期1回目とかめっちゃやる気あるんだけどねw
無理だと実感した途端、スッと考えるのをやめて妄想したり頭の中で歌ったり教科書やノートに落書きして過ごしてたw+4
-0
-
347. 匿名 2021/06/18(金) 22:31:43
>>309
気になって前に進めないか、見切りをつけて次に進めるか、この違いが大きいんだよね。
勉強において基本的に解決しなくてもいい根本的や専門的な疑問ってけっこうあるけど、そういう疑問に対するスルースキルが低いと無駄なことに思考を持っていかれてしまって本来考えるべき範囲の勉強がはかどらない。
点数や成績を取ることや受験に受かることが重要な中学高校時代の勉強は、大学でやるような研究的な範囲のことまで解決しようとしたらダメよ。+7
-1
-
348. 匿名 2021/06/18(金) 22:32:07
偏差値32の私立の女子高でした。
公立にも進学できないくらいバカだったので母には苦労掛けました。+3
-0
-
349. 匿名 2021/06/18(金) 22:40:18
数学は捨てた。
けど、暗記も全然苦手。今でさえ資格の勉強が全然覚えられない。
けど、社会に出てみて「勉強」の頭の良さと「地頭」の良さは違うんだと感じることができた。
ただ、勉強は出来た方が選択肢が多いのは確か。+3
-0
-
350. 匿名 2021/06/18(金) 22:44:25
会社の50代見てて、自分が勉強やらないのを勉強できないっていう人に凄い嫌悪感ある。+0
-0
-
351. 匿名 2021/06/18(金) 22:44:59
>>7
めちゃくちゃわかる。私は高校の時、国語が120人中1位、数学は96位だった事があった。笑
下手に出来る教科があったせいで勉強に対する焦りがなく努力する事もなく、30代半ばになった今、そのツケが回って来てる。すっかりおバカなおばちゃんになっちまった+26
-0
-
352. 匿名 2021/06/18(金) 22:45:16
全然勉強できなかったよ、数学とか英語とか10段階で3だった。
でも国語と美術は9とか10だった。
両親も弟も勉強出来るし稼いでいるのに…なんで私だけ馬鹿なんだろうっていつも思ってました。
小学生の頃、学校の階段から落ちて気絶してた事があって、その時に頭を打ったせいかな…。
+1
-0
-
353. 匿名 2021/06/18(金) 22:50:12
>>347
そこまで難しい問題じゃない気がする。
普通の子が感覚的に理解できることを、できない子は事細かく説明してもらわなくちゃ分からなくて先に進めないだけな気がする。
見切りをつけるとかそういう話じゃなくて、ガチで理解力が他の子より悪いだけじゃないかな。
先生に「分からない、分からない」ってしつこく質問するのは大抵成績の悪い子だよね。+4
-4
-
354. 匿名 2021/06/18(金) 22:51:52
なんでそうなるの?で止まっちゃって話が入ってこない。
昨日のおかえりモネのモネちゃん状態。+1
-0
-
355. 匿名 2021/06/18(金) 22:57:09
>>326
中学生の頃からテストは赤点だらけだったし、何やってもグズだけど、何とかなってるよ。
事務職で手取り30万位稼げるようになりました。+2
-0
-
356. 匿名 2021/06/18(金) 23:00:56
>>59
凄い!!私も0点取ってた(笑)
事務 分かるんですか?!!+2
-1
-
357. 匿名 2021/06/18(金) 23:03:10
勉強の仕方が分からんかっただけやし!+1
-0
-
358. 匿名 2021/06/18(金) 23:06:03
>>28
凄い!老後安泰だね!
絶対に騙されたりしないでね!+43
-0
-
359. 匿名 2021/06/18(金) 23:06:25
勉強もできない
地頭も悪い
運動もできない+3
-0
-
360. 匿名 2021/06/18(金) 23:07:13
私もいつも学年下から10番以内とかばっかりだった。
でも昔からピアノを頑張ってたから、今はそれを仕事に生きていけてるし、楽しい人生歩めてると思う。+7
-0
-
361. 匿名 2021/06/18(金) 23:12:49
>>26
九九のことなのか。掛け算の後半っていうから、分数の掛け算とか難しくなってきた辺りからってことだと思った。+8
-1
-
362. 匿名 2021/06/18(金) 23:12:55
私も中3で数学0点取って自分に引いた!
数国社理以外の教科はめっっちゃ良かったんだけどなー
ラッキーな事に高校は定員割れで入試ほぼ関係なく入れた!ほんと助かった。+4
-0
-
363. 匿名 2021/06/18(金) 23:13:28
>>187
そんな学校あるんだ
+2
-0
-
364. 匿名 2021/06/18(金) 23:16:55
>>38
日本史の問題で農具を答えるイラスト問題10問くらい出て全部備中鍬って書いたことはある笑+2
-0
-
365. 匿名 2021/06/18(金) 23:17:34
>>50
こういうのはもう考える気にもならないんだけど、勉強しようとすると拒否反応なのか眠たくなるのは私だけ?頭を使おうとすると眠くて授業中もよく寝ていた。+9
-0
-
366. 匿名 2021/06/18(金) 23:21:04
>>90
面倒で小銭溜まっちゃうことあるけど、コンビニ寄ったときに募金箱に入れるようにしてる。+4
-0
-
367. 匿名 2021/06/18(金) 23:23:48
>>14
YOUtubeで勉強しているのですか?
私も勉強したいです
紹介してもらえないでしょうか?+3
-0
-
368. 匿名 2021/06/18(金) 23:25:40
文章が苦手。
口から出てくる言葉が幼稚+7
-0
-
369. 匿名 2021/06/18(金) 23:29:02
大人塾ってあるよね
じいさん、ばあさん年齢問わず通える塾+3
-0
-
370. 匿名 2021/06/18(金) 23:29:53
証明問題のテストは0点で
「こじつけにも程がある」と赤字で書かれて返された+5
-0
-
371. 匿名 2021/06/18(金) 23:31:04
>>20
母親は頭良くて高校で上位にいたらしい
私に教えてくれた記憶はあるけど、諦めてたのか熱心ではなかったなー+6
-1
-
372. 匿名 2021/06/18(金) 23:37:46
>>284
私も数学とかは偏差値65以上(模試によっては70)あったけど、文系教科は暗記ばかりなのもあって偏差値30台でした。周りが80点取るテストでも20点とかそんな感じ。英語は3単元で躓いてshe・her・her辺りからやばかった。文系科目の教師に嫌われてた。
あれだけ出来た数学も今じゃ分数もやばそうなので、基本的に暗記して忘れないことが苦手なんだと思う。+2
-0
-
373. 匿名 2021/06/18(金) 23:38:22
高校の数学から急激に脳がフリーズして苦手になった。
しかも父は数学者なんだよ~・・・
三者面談で「授業中にノートはちゃんととってるし、お父さんが数学者なのに、なぜ娘さんは数学の成績が悪いんですか!?」て数学担当の担任に詰め寄られて自分でもわからないから何も言えねー。
とっさに母が「私も数学苦手だったから頭は私に似たのかしら!?おほほほほw」て言ってくれたから救われた。
大学の後輩は父が物理学教師で、こちらは物理学の単位を落としただけで激しく叱責されて自死してしまった。
できない理由がわかったらマシな成績に自分でするわ!
一教科が壊滅的でも何とかなるもん!+8
-0
-
374. 匿名 2021/06/18(金) 23:40:33
丸暗記が壊滅的
ワンパスワードやレシピが一回で覚えられない+1
-0
-
375. 匿名 2021/06/18(金) 23:40:54
私勉強もそうですがスポーツのルールとかトランプのルールとか全然わからないし覚えられません…+7
-0
-
376. 匿名 2021/06/18(金) 23:45:26
>>4
私も同じ。
アサラーなんだけど、病気なんじゃないかと思うほどに頭悪い。簡単な計算すらできなくて、病院の看護師さんにドン引きされた。+15
-0
-
377. 匿名 2021/06/18(金) 23:58:08
算数は掛け算の暗記でつまずき、以後数学も、赤点ばかり。分からない問題が分からなかったり、分からない問題が判明して1度質問しても理解出来ず放置で、結果バカまっしぐら。
進研ゼミ・学習塾代は、学習意欲の無かった私にとっては無駄だったと思う。+0
-0
-
378. 匿名 2021/06/18(金) 23:59:20
私も小学生のころから算数はもちろん他の教科も勉強出来なさすぎて成績悪い子は放課後に居残り勉強がたまにあって常連だった。運動も苦手で夏休みは学校に呼び出されて勉強と水泳やらされてた。
中学でも数字も英語も全部出来なくて呼び出されてた。意味分かんない!方程式とか。
塾行ってたけど分からない問題の解き方教えてもらうにもコミュ障で話しかけられず問題とにらめっこばかりで時間の無駄だったな。
高校も成績ギリギリだった。+1
-0
-
379. 匿名 2021/06/19(土) 00:01:11
勉強できなかったし地頭も悪い。
間違っているけどセンセーショナルな情報ばっかり仕入れてしまう。
ワクチン接種で体に磁石がくっつくやつ見て心配になったり。
絶対ちがうと思うし正しい知識を得ようとしても
賢い人が賢い人に向けた説明聞いてもちんぷんかんぷんだわ。+4
-0
-
380. 匿名 2021/06/19(土) 00:03:57
どの学年でも1学期からついて行けずヤバかった。
だから夏休みの宿題も親や兄弟に泣きついてやってもらってた。
2学期もスタートからつまずき、3学期末まで何ひとつ身につかず。
でも1日も休まず学校に通い皆勤賞だった自分は褒めてあげたい。+4
-0
-
381. 匿名 2021/06/19(土) 00:05:00
早生まれの人(1〜3月生まれ)が多いのかな?+0
-0
-
382. 匿名 2021/06/19(土) 00:06:55
>>24
ごめん!
コメント読んでふいた笑笑+15
-0
-
383. 匿名 2021/06/19(土) 00:06:58
呼んだ?
ピアノの音符がおたまじゃくしにみえる。。
リアルガチです。。+0
-0
-
384. 匿名 2021/06/19(土) 00:07:41
勉強は周囲と比べて突出してできるタイプではありませんでしたが、仕事では多方から信頼を得られている実感があります。
もちろん、ある程度の学力は必要ですが、仕事をする上では学力だけでは図れないものがあると思っています。
+0
-0
-
385. 匿名 2021/06/19(土) 00:10:07
頭が悪いからでしょうか?人とコミュニケーション取るの苦手です。+4
-0
-
386. 匿名 2021/06/19(土) 00:17:53
右足出すのと左足引くのを同時にすればその場から一歩も進めない。足踏みも一歩も進めない。じーっと立ち止まってても寝てても一歩も進めない。この3種類の違いを把握しなければ勉強できない、しないの「できない・しない」を一生勘違いしたままだ。その状態で勉強してしまったら、この3種類の違いを知る初歩の初歩の学びに戻れる自信がない。「出来る・する」の魔力に取り憑かれたまま一生を終えてしまうって主張してた。+0
-0
-
387. 匿名 2021/06/19(土) 00:23:27
>>18
>>140
そういうルールにしようと決めたから、だそうです
ヨビノリの人が言ってた
ズッコケたわ+1
-0
-
388. 匿名 2021/06/19(土) 00:28:12
>>131
数学はともかく、英語は文系理系今はどっちも絶対避けられないよね?+12
-0
-
389. 匿名 2021/06/19(土) 00:33:12
全体的に酷かったけど化学と物理学は本当に分からなくてテスト中に泣いたよ。式覚えるのも出来なかったから100点中9点だったから先生に英単語何ページ分書いて提出したら30点にしてあげると言われた。
大学は地元Fランで大卒という箔だけつけに行ってたな+1
-0
-
390. 匿名 2021/06/19(土) 00:36:51
>>197
そういう奴のためにエクセルがあるんや+1
-0
-
391. 匿名 2021/06/19(土) 00:38:31
>>18
しっ…!聞こえる…
ヒグラシの鳴き声が+5
-0
-
392. 匿名 2021/06/19(土) 00:39:10
>>1
とある期末テストの点数
国語 89 良いじゃん。
理科 83 おうおう。
情報 100 すごいじゃん!
美術 80 ほほーん。
音楽 13 ん?
数学 28 あら?
社会 15 どうした?
英語 0 OKOK!落ち着け!
毎回こんな感じ。差が凄いので毎回先生に呼び出し食らう。
でも安心して。問題なく生きていけるわ。+7
-0
-
393. 匿名 2021/06/19(土) 00:55:05
小学校入りたてで目をつぶってあいうえお(50音順)を言いましょう、ができなかった。
いまだに干支の順番も最後まで言えない。
数学英語は赤点意外とった事がない。社会に出てエクセル関数の真偽が出たときは「真と偽ってなに?」って隣の人に聞いて引かれた。
まっとうに生きていれば、勉強が出来たとか出来ないとかどうでもいいと開き直ってる。+0
-0
-
394. 匿名 2021/06/19(土) 00:59:11
小学生に上がる前から掛け算が言えたり字もカタカナひらがな少しの漢字も書けていたけど黒板の書写しが間に合わず先生の話を全く聞いていなかったので授業内容を理解できず勉強が全く出来なかったです
本当に勉強が出来ないアホです
今も字を書くのが異常に遅いし早く書くと異常に汚いので何か発達障害があるのかも?
漢字が努力しても全く覚えられなかったり簡単な計算も慎重に考えてもミスをしたりします
3歳の娘がひらがなと数字とアルファベットを書けて今は凄いと思うのですが私と同じ道を辿らないか不安です
ちゃんと娘に合った勉強の方法を教えてあげたいけど私がアホだからどうにもならないのかな+2
-0
-
395. 匿名 2021/06/19(土) 01:00:13
そもそも偏差値が分かってない。
「偏差値50の高校で」とかの会話になると皆と反応を合わせて「そうなんだぁ」とにっこり微笑んでる。+0
-0
-
396. 匿名 2021/06/19(土) 01:03:03
認知症の判断で100から7つずつ引いて答えていくっていうのがあるらしいけど、わたしそんなのハナから無理だって。+1
-0
-
397. 匿名 2021/06/19(土) 01:06:12
小学2年生から算数が一気に訳わからんくなったw
1年生のときは100点ばっかりだったのにw+1
-0
-
398. 匿名 2021/06/19(土) 01:06:23
多分中学の数学から出来ない
英検は4級止まり
23232333みたいな成績だった
まぁ45点とれれば上々
68点とかなら嬉しいレベル。多分学習障害?集中力にも欠けるし左右盲でもある
我が子はよく勉強する子で3なんて無かったな
看護師してるけど尊敬する
自分の子じゃないんじゃないか?と今も思う
私はなんの資格もないから頭使わないで出来る仕事低時給パートのオバサン+1
-0
-
399. 匿名 2021/06/19(土) 01:10:38
>>140
掛け算だよね。
-7×2=-14は分かる?
-7が2個だから-14
数直線の0から-7が2個分左(マイナス方向)に行く。
-7×-2=14
になるのは、数直線で-7を-2個分移動させるから、プラス方向に14だよ。
+12
-0
-
400. 匿名 2021/06/19(土) 01:13:33
>>1
ここの人達はそれでも高卒以上なんですか?
私中卒で今は高卒資格取るために中学の勉強をやり直してる。勉強苦手だけど頑張ります。+3
-0
-
401. 匿名 2021/06/19(土) 01:18:01
偏差値低い高校に通ってたのにそこでも赤点とか取ってたよ。
事務職してたけど仕事自体はなんとかなった。
ただ、地頭が悪く、語彙力や知識が無いので、会話する時にピッタリな言葉が思い浮かばなくて遠回りに説明してしまう事が多くて辛かった。+1
-0
-
402. 匿名 2021/06/19(土) 01:21:52
>>14
私は有名な通信教育やってる。今は小5で中3まで頑張ってから通信高卒いくつもり。
勉強は苦手だったけどやり直し勉強は意外に楽しいよ。+9
-0
-
403. 匿名 2021/06/19(土) 01:23:21
勉強や人はすぐ忘れるし覚えられないけど、興味があることへの記憶力はあるから馬鹿ではないのかな 脳の使い方が悪いのかな 英語は得意だったけど国語が致命的だったな 日本人なのに+9
-0
-
404. 匿名 2021/06/19(土) 01:26:16
>>20
うちの母親はこんな言い方あれだけど発達疑うレベルの人です 自分はまだ母親よりはマシなレベル 弟はヤバい
確実に遺伝だなと思います+4
-0
-
405. 匿名 2021/06/19(土) 01:29:50
数学が破滅的にダメだった
国立行きたくて、数学も真面目に勉強してたけど定期テストではいい点取れても模試がボロボロすぎて諦めた。
全然理解できてないんだろうね。算数も苦手で未だに割合の問題出されたら答えられないと思う。
子供はせめて人並みに算数、数学できるようになってほしい。。+5
-0
-
406. 匿名 2021/06/19(土) 01:32:44
高校偏差値34
中学以降勉強をしようと思ったことも、したこともないから
やれば出来るのかすら分からない。
したことないから、とにかく知らない事が多くおバカであることは間違いない。+5
-0
-
407. 匿名 2021/06/19(土) 01:36:43
>>400
>>392です。
一応高卒です。一旦、中卒で働き始めた後に
高卒認定取ろうとしたらアホみたいに難しかったんです。
そこで
通信制の必須科目だけ取れば、後は必要単位を取れたら科目は何でもOK!みたいな所に入学して
必須科目を1年目に全部履修して、後2年は好きな科目に極振りして卒業しました(笑)
今はそこそこまともな士業事務所で
資格取得を目指しながらお仕事しています。+7
-0
-
408. 匿名 2021/06/19(土) 01:46:34
>>90
後ろに並んでいる人の頭は沸騰寸前+0
-2
-
409. 匿名 2021/06/19(土) 02:05:06
私も算数小4から怪しくなって、中学でいつも30点以下だった。
勉強がついていけなくて、学校が楽しくなかった。男子にこいつ馬鹿だよ。とか言われたりして。
子供達には同じ思いさせたくなくて、親が親だからある程度ぐらい授業についていけるくらいになってほしくて。小さいうちからそろばん行かせたり、公文は嫌と言われたからスマイルゼミをさせたりしました。小4までギリギリ教えられたので、勉強は毎日の反復だよを習慣にしました。
それで二人共に私の子とは思えないくらい算数、数学できるようになってます。
お姉ちゃんが特に計算早くて頭の中が整理されていて他の教科もそれなりに取れてます。
数学は分からない子とかに教えたりもするみたいで誇らしい。
私がまったく分からないから、下の子も勉強はお姉ちゃんを頼る。
+5
-0
-
410. 匿名 2021/06/19(土) 02:16:59
>>6
私も中学は理由あってこれ笑⃝
でも未だにそれで不便になったことは無い
まぁ1以上あるに越した事はないんだけどねぇ笑+1
-1
-
411. 匿名 2021/06/19(土) 02:21:20
高校模試で現国(だったっけ?国語のレベルアップ版みたいなやつ)は一位だったし他も平均だったのに数学だけ3点とか取ってた。授業きいてても予習復習してもわからない……。
私病気なんですかねって先生に相談したらここの問題だけできれば留年しないから!と何問かピックアップしてくれました。
今でもその記憶がつよくて勉強をするという行為がもはやトラウマ笑
免許センター行きたいけど出来なかったらどうしよう!って不安です…。+4
-0
-
412. 匿名 2021/06/19(土) 02:24:49
勉強できるできないって本来持っている頭の良しあしだけでなく、やる気にかなり左右されるなと高校受験を控えた息子を持つ親だけど思う。
あといかに早く精神が成熟して自分を律することができるか。精神が幼いといくら勉強の必要性を語っても目先の楽しいことに心を奪われてしまう。
精神の成熟の早さとIQは関係ないな。+3
-0
-
413. 匿名 2021/06/19(土) 02:36:09
>>400
わたしは中卒です、中退しました。
学歴不問のベンチャーITに就職して、そこからまたベンチャーでミニ会社だけど一応役員で多くはないけどボチボチもらえてます。
中卒なので、お給料は満足してます。
が、仕事で計算などになると、人より少々時間かかってました、特に時間計算が苦手。
あと勉強してこなかったからか覚えたりすることが面倒くさい。
高卒取るってことは、まだお若いのかしら?!
勉強するに越したことはないですよね、がんばってください。
+1
-0
-
414. 匿名 2021/06/19(土) 02:39:36
私も勉強が全然出来なくて。
国語や美術、生物等はそこそこだったんですが
数学や歴史、英語が酷かったです。
テスト時間がすごく余るので、
鶴亀算(今もあるのかな?)のテストなんかは
テストの裏面に、鶴と亀の絵を描いて
答えを導き出したりしてましたw
あとは、例えば
変な形のここの長さを求めよ と言う問題は
求める箇所じゃない箇所の長さが3cmと
かいてあったら、そこを三等分して大体1cmを測り
シャー芯等で求めないといけない部分を測って
答え書いてました笑
答えがルートだと使えない荒技でしたw
そうゆう悪知恵?だけは働いて○貰ってました笑
+4
-0
-
415. 匿名 2021/06/19(土) 02:40:51
勉強の楽しさ知ってる。
数学の公式大好き。
でもテストは平均以下。数学は赤点。
好きの横好き( ・∀・)+1
-0
-
416. 匿名 2021/06/19(土) 02:42:13
>>1
わかりますわかります!!!
7~9の段はスラッと出てこないときある!
二桁の足し算や引き算も苦手w
英語も読めないしバカすぎて自分でも
ビックリします(^_^;)+5
-0
-
417. 匿名 2021/06/19(土) 02:46:04
>>27
なにそれどうすれば
頭悪いなりに計算式を考えてみよう。
例えば1年後の6月18日だとしたら何曜日か。
わかってること↓
今年の6月18日は金曜。
一年後の6月18日まではあと365日(⬅すでにここ自信ない)。
一週間は7日間。
うん。ごめん計算式むり。+9
-0
-
418. 匿名 2021/06/19(土) 02:48:54
父親が京大
姉が京大
おかん 知らない
私 定時制高校
+4
-0
-
419. 匿名 2021/06/19(土) 02:50:43
鏡越しで左右がわかんなくなる
暗算できない
子供が勉強でわかんないところがあって聞きに来てたけど私もわからんから聞きに来なくなったw+2
-1
-
420. 匿名 2021/06/19(土) 02:51:52
>>73
私も人を怒らせたことある。
小4くらいのとき本当に算数が分からなくて16点取ったことあるんだけど、素直に母に言ったら初めは「一緒に解いていこう」と優しかったのに、私があまりに理解しないから次第に般若のような表情になっていった。
数時間かけて最後まで解いたけど、その頃には答案用紙は涙でぐちゃぐちゃ。
高校は選択授業のところへ入り、高3から数学勉強していません。+4
-0
-
421. 匿名 2021/06/19(土) 02:53:16
私は数学はマシだった。100点は無理でも6~7割は取れた。何のためにこんな問題やるのかはよくわからないけど、公式見ながら何度も解くとそのうち公式も覚えて、そしたらもう簡単。でも応用の難しいのはわからない。
問題は歴史…用語が多すぎる。乱とか戦いとか、なぜ統一しない?貴族とか武士とか大名とかの定義も違いもわからない。殿様っていうのも誰の事なのか。+4
-0
-
422. 匿名 2021/06/19(土) 02:55:19
社会人になったら頭の良さ云々から解放されると思ったのに
研修は難しすぎるし、周りも頭のいい同期ばっかりで一生これかと嘆いている新入社員です+2
-0
-
423. 匿名 2021/06/19(土) 02:55:34
>>417
あなた頭良いよ。今日は金曜日で、一年は365日ってまずそこを整理しようとするところが秀才。
私なんて最初から「はぁ?一年後のことなんて分かるやけないやんw」と放り出した。+6
-0
-
424. 匿名 2021/06/19(土) 03:03:26
>>109
あ、賢い
真似するわ+1
-0
-
425. 匿名 2021/06/19(土) 03:03:32
>>181
これめっちゃわかる。私も変なところで気になって先に進めない。そういうもんだって一度納得するしかないんだよね…そこ追求するのは、一通り学んで、更に研究したい人がやる事なのに、バカな私が気にするとこじゃなかった…+3
-0
-
426. 匿名 2021/06/19(土) 03:10:04
>>27
笑った。私もカレンダー書くしか思いつかない。これアスペルガーかサヴァン症候群(?)の人で、瞬間で答え出せる人いるよね。+5
-1
-
427. 匿名 2021/06/19(土) 03:22:12
>>417
おお。たしかに。私も考えた。7日後も14日後も金曜日だから、7の倍数だと全て金曜日って事だね!?
一年後の6月17日(6/18の前日)が、多分364日後。7で割ったら52。割り切れた。(割り切れたら何か合ってるような気がする)6月17日が金曜なんだから6月18日は土曜日なんじゃ?+4
-0
-
428. 匿名 2021/06/19(土) 03:52:54
中学校を出て洋裁の専門学校に入りました、なので学歴は中卒です😅+0
-0
-
429. 匿名 2021/06/19(土) 04:05:04
数学いくら頑張って試験勉強しても5点とかだったわ。暗記できるものは90点とかだったのにさ。自分で考ええることが苦手なんだと思う。+2
-0
-
430. 匿名 2021/06/19(土) 04:08:53
>>18
図で説明されるとマイナス計算は分かりやすいのに、きちんと授業で説明せずに教えられるからねぇ+1
-0
-
431. 匿名 2021/06/19(土) 04:10:25
>>6
家族みんなでオール1+1
-0
-
432. 匿名 2021/06/19(土) 04:11:22
>>428
卒業してないって事ですか?+0
-0
-
433. 匿名 2021/06/19(土) 04:48:43
>>432
卒業しましたよ。+0
-0
-
434. 匿名 2021/06/19(土) 05:29:41
私、算数23点だった…
母、あっちゃー
私、150点満点の…
母、うわっちゃー!
あんまり深刻な事だと知らずに育ってしまった。親はグレてないし良い子だからいいか、と思ってたらしい。良いわけないじゃんね。+3
-0
-
435. 匿名 2021/06/19(土) 05:42:11
>>166
私も、
親が算数指導する時は、
出来ないと机バーンでした。。
その時間が恐怖で、頭はさらにパニックで真っ白。。
目の前で文字を書くのがすごく怖かったです。
それ以外は優しい親でしたが、もう少し良い教え方してくれたら…と今思います。
算数が苦手で、当時はその教えてもらう時間が辛くて嫌でたまりませんでした。
自分は算数苦手すぎて、障害があるんじゃないかって思ってます。
検査する勇気はありませんが…
有り難い事に偏差値は低いですが、
大学に推薦で入学する事ができました。
しかし今、自分が親になり子供の勉強を見ていると
理解度が私に似てるなって…
怒りたくなる気持ちもわかるようになりました。
私と同じになってほしくないので、
今は塾に通わせています。
色んな想いがあり長文になりました。
+4
-0
-
436. 匿名 2021/06/19(土) 06:31:37
>>5
生き抜く力が無い人の多くは勉強も出来ない気がする+3
-0
-
437. 匿名 2021/06/19(土) 06:32:14
>>1
親も低学歴ですか?+1
-0
-
438. 匿名 2021/06/19(土) 06:39:49
小学校低学年から勉強苦手。
親が無理やり教えるけど教え方下手だし間違えるとキレるから恐怖で数字見るのも嫌になり九九は未だに言えない。中学入ってからは数学毎回0点で通知表は全体的に2〜3ばっかり。
進路決めるときに『看護師になりたい』って言ったら親、先生に無理だからやめろって言われたけどドリル買って自力で猛勉強して看護学校入って国試クリアして看護師になれました。未だに九九は言えないけど。+2
-0
-
439. 匿名 2021/06/19(土) 06:44:37
関東以外、地理が分からない。
東西南北もわからない。+0
-0
-
440. 匿名 2021/06/19(土) 06:55:41
>>17
違いがある事にびっくりしました。自分バカすぎてなんの為に生まれたのやら…+1
-0
-
441. 匿名 2021/06/19(土) 07:01:41
>>418
姉妹でそこまで違うの
なにがあったんや+0
-0
-
442. 匿名 2021/06/19(土) 07:11:10
>>44
良い人生だね。親御さんも頑張ってくれて、実らなくても良い関係が築けて、あなた自身も満足のいく人生を手に入れられてるならば凄いこと!
+6
-0
-
443. 匿名 2021/06/19(土) 07:18:50
>>38
勝った!私は二点!!ドヤっ(笑)+1
-0
-
444. 匿名 2021/06/19(土) 07:20:20
>>50
絨毯の模様でしょ+3
-0
-
445. 匿名 2021/06/19(土) 07:21:03
高校の時成績が学年ビリだったよ(^^)
流石にびっくりした+2
-0
-
446. 匿名 2021/06/19(土) 07:22:25
私も赤点で勉強できないまま卒業した。
未だに国語とか数学わからない+1
-0
-
447. 匿名 2021/06/19(土) 07:31:00
>>50
これって、相対性理論とか解く時
使う数式だよね。+0
-0
-
448. 匿名 2021/06/19(土) 07:35:35
>>58
コグトレで検索したらいいよ。大人でも増えるかわかんないけど。+0
-0
-
449. 匿名 2021/06/19(土) 07:42:03
みなさん今は何のお仕事されてますか??子供のIQが平均より低いのでどんな職業ならやっていけるのか気になる。
知的障害以上だから障害者枠は無理だし。。。+0
-0
-
450. 匿名 2021/06/19(土) 07:45:39
今だったら知的障害の診断降りる人結構居ると思う。
壊滅的に勉強が出来ない人とか怪しいよ。
どれだけ勉強しても赤点だらけとか普通は無い。+3
-0
-
451. 匿名 2021/06/19(土) 07:49:41
>>84
エクセル使いこなせてるならバカじゃない気がする
+2
-0
-
452. 匿名 2021/06/19(土) 07:49:46
>>31
「虚数とか社会に出ていつ使うんだよ」にセガが回答 社内勉強会用の“ガチ数学”資料公開、ゲーム開発現場で使われていた(ねとらぼ) - Yahoo!ニュースnews.yahoo.co.jpセガが6月15日、社内勉強会用の資料をSEGA TECH BLOGで公開しました。ゲームの開発に必要な知識ということなのですが、内容は大学初年度レベルのガチ数学、そしてその内容は150ページ以上!
ゲーム制作では必須らしくて、うちの甥っ子はそういう世界を目指してるみたいなんだけど躓いてないかな。+1
-0
-
453. 匿名 2021/06/19(土) 07:51:19
>>195
数学得意な人が記憶系の社会歴史苦手なのは単調すぎて興味がなく覚える気がないパターン。国語の読み取りがちんぷんかんなのは深読みしすぎるから。なのに数学の文章問題は解けちゃう。
知能的には理数系が頭脳的には断然高いと思う。知識の幅が広いのは文系。+5
-1
-
454. 匿名 2021/06/19(土) 08:03:58
桁がかわる足し算や引き算(7+5や26-19)は指をつかわないとできません。
でも税理士やってます。電卓あるから計算なんてできなくて問題ないです。+4
-0
-
455. 匿名 2021/06/19(土) 08:21:30
数学だけ0点取ったことあるよ。
算数も大嫌いで、数字見るだけで勉強する気失せてた。親に勉強しろって言われても椅子に座ってるだけで、親が見てない時は突っ伏して寝てたくらい。
他の教科は頑張ればそこそこ出来たんだけどね〜
数学だけはダメだったな。+2
-0
-
456. 匿名 2021/06/19(土) 08:22:35
>>59
私も高校の数学ちんぷんかんぷんで、一桁の点数取りまくってた。でも今Excelでデータ集計の仕事でご飯食べてる。プログラムとかも書いてる。+7
-0
-
457. 匿名 2021/06/19(土) 08:22:51
考える力も無ければ理解力も記憶力も無い
仕事で説明されてる間もメモを取るけど理解する→メモ取る、までの流れが遅くて理解しきれないままどんどん先に進んじゃう
分かったと思ってもいざ始めると宇宙猫になるし
難しい事を依頼されてる訳じゃないのは分かるのに全然出来なくて辛い…+6
-0
-
458. 匿名 2021/06/19(土) 08:22:57
>>30
普段生活するぶんには必要ないよね。+1
-0
-
459. 匿名 2021/06/19(土) 08:25:39
>>105
友達がわからなすぎて選択問題だけ⚪︎✖︎つけたら時間が余って居眠りした結果、ヨダレで答案用事がシワシワになって
赤字でデカデカと「ヨダレ垂らすな−50点!」て書いてあって、選択問題で当たったのが30点くらいあったから−20点くらいになってた事あったよ
しかも「答える努力をするように!」とか書かれてたw+4
-0
-
460. 匿名 2021/06/19(土) 08:32:15
>>131どうやって英語避けれますか?
高校生息子が英語壊滅的で大学受験不安しかなくて。。+4
-0
-
461. 匿名 2021/06/19(土) 08:34:34
>>195
面倒くさそうな母親だね+0
-2
-
462. 匿名 2021/06/19(土) 08:50:55
私なんて数学マイナス2点取ったことあるよ。
テスト中寝てしまって、残りの時間1分に先生ごめんねって落書きしたらそれにマイナス2点食らってしもた。全国見てもマイナス2点取ったの私だけだと思う(笑)+3
-0
-
463. 匿名 2021/06/19(土) 08:51:39
>>14
ウチの母はもう後期高齢者の歳だけど、数年前から小学校の算数から勉強し直してるよ
今はもうすぐ中学生の単元が終わる頃らしい
物凄く数学に苦手意識があったのでとても時間をかけてやり直してるけど、着実に前に進んでいるって
とても楽しんでやっているよ、尊敬するわ+7
-0
-
464. 匿名 2021/06/19(土) 09:01:00
>>248
テストが難解すぎる、というのをどこかで見た気が…+0
-0
-
465. 匿名 2021/06/19(土) 09:12:43
私ほど頭悪い奴はいません。+1
-0
-
466. 匿名 2021/06/19(土) 09:21:54
>>25
私の出身校(普通科)では「化学」や「物理」って科目はなかった。
全部まとめて理科だったよ。+0
-0
-
467. 匿名 2021/06/19(土) 09:32:04
私も仕組みはよく分からんけど、マイナスがマイナスになったらそりゃプラスだろうな、と思ってて違和感なかったわ。
多分仕組みまで説明しないのは、本気で説明が難しいからなんだと思う。その年の普通の子ではこれ以上理解が無理、って話は最初からしないしね。
会社の仕事でも、新人の時はとりあえずマニュアル通りにやって!理由は後で教えるね!みたいなことってよくあるしさ。+1
-0
-
468. 匿名 2021/06/19(土) 09:32:34
>>162
馬鹿だと灯台にすら行けないです
地図も読めないし
カーナビの案内のこの先700メートル先が
どの位かがわからなくて通り過ぎてしまう
永遠にたどり着けません…+3
-0
-
469. 匿名 2021/06/19(土) 09:33:50
>>18さんへの返信です・・
+0
-0
-
470. 匿名 2021/06/19(土) 09:35:27
>>467
>>18さんへの返信です・・+0
-0
-
471. 匿名 2021/06/19(土) 09:36:47
>>1
うち認知症の家系なんだけど、そういう人いる?
+2
-0
-
472. 匿名 2021/06/19(土) 09:37:29
>>427
!!
ガリレオガリレイの再来かと思ったわ+1
-0
-
473. 匿名 2021/06/19(土) 09:39:07
とにかく、ものが覚えられない。
暗記ものが苦手で、何回本を読んでもダメ。
暗記教科得意な子に勉強の仕方を聞いたら、「あんなの1回読めば覚えるしょー」だって・・悲+3
-0
-
474. 匿名 2021/06/19(土) 09:45:19
>>460
横だけど、何年生?
とりあえず単語覚えて長文に慣れたらなんとかなる気がするんだけどな。
語学だから毎日毎日やって慣れたらできるとおもう。
さすがにいま高3だったら不安しかないけど、夏休みあるし頑張るしかない。
+2
-0
-
475. 匿名 2021/06/19(土) 09:46:04
数学・数学は好きじゃないけど必ず答えがあるから楽
国語も本読むの好きだから得意だったけど
英語が破滅的に駄目だった
音楽は洋楽しか聞かなかったし
外国もすごく興味があったのに
どんなに勉強しても全く覚えられなかったんだよね
多分語学のセンスが全くなかったんだと思う
英語出来たらどれだけ世界が広がったんだろうと
自分の頭の悪さを呪うよ+1
-0
-
476. 匿名 2021/06/19(土) 09:50:10
数学がまったくもって駄目だった
この世界の理屈はだいたい数字で証明できると言っていた人の頭の中身を共有したい
この公式がいつどこで自分のために役に立つのかを先に知りたかった
覚える意味がわからないまま詰め込まされたって身につくわけがなかった+5
-0
-
477. 匿名 2021/06/19(土) 09:57:41
>>106
幸せは歩いて来ない♪
だから歩いて行くんだね♪
ワンツーワンツー!
わかるかな?+1
-0
-
478. 匿名 2021/06/19(土) 09:59:43
算数苦手。
子供が今小学校高学年だけれど、もう教えられる自信ない…
○割引シールの計算だけは早いけれど…+1
-0
-
479. 匿名 2021/06/19(土) 10:00:47
>>16
バカの意味合いが違うもんなー
勉強できない人を意味するわけではない+0
-0
-
480. 匿名 2021/06/19(土) 10:02:57
>>27
そういう問題計算がだるい+0
-0
-
481. 匿名 2021/06/19(土) 10:03:14
>>50
大丈夫!学者でもない限りこれを解かないといけない仕事なんてまず来ないからさ!楽しく生きよ〜(´ω`)+3
-0
-
482. 匿名 2021/06/19(土) 10:04:58
>>45
え?何が悪いの?自分語りをするトピでしょ?+1
-0
-
483. 匿名 2021/06/19(土) 10:07:45
>>51
凄い! 金田一少年みたい。
実は地頭いいんじゃない?+5
-0
-
484. 匿名 2021/06/19(土) 10:08:54
>>50
これ文系数学でやらない分野だ
物理とか数3の内容だから、これが分からなくても別に勉強ができないわけじゃないと思う+1
-0
-
485. 匿名 2021/06/19(土) 10:10:40
>>99
別によくね?+1
-2
-
486. 匿名 2021/06/19(土) 10:11:51
>>128
そういうのは勉強できるかより、興味関心があるかが大きいと思う+0
-0
-
487. 匿名 2021/06/19(土) 10:17:16
>>4
私も。高校バカすぎて卒業出来なかったし
車の免許は、とれたけど道も覚えられないからすぐ迷子。
乗せてって〜とか言われると地獄。+4
-0
-
488. 匿名 2021/06/19(土) 10:18:47
数学どころか算数が出来なくて今に至ります
分数の計算が分からなくてx出た辺りで本当に数字弱いんだなと自覚しました+5
-0
-
489. 匿名 2021/06/19(土) 10:20:11
連続の書き込みですが割引の計算も出来ないし暗算も出来ないので買い物する時はスマホの電卓必須+1
-0
-
490. 匿名 2021/06/19(土) 10:21:41
ドラゴン桜観て、勉強が楽しそうに感じて小2の応用算数のドリルをしてるよ。スイスイ解けるから楽しい。
私は高校の偏差値37くらいだったんだけど、社会に出てから資格試験とか勉強することが多かったから、自然に頭が良くなった気がする!+0
-0
-
491. 匿名 2021/06/19(土) 10:29:04
>>60
こどもが繰り上がりの足し算を計算するのに「さくらんぼ計算」を学校で教わってきて、「さくらんぼ計算て何?」と思って調べたら、ここ10年ぐらいで主流になった計算方法なのね。
昭和世代には知るはずもない。
言われてみれば、そんな計算の仕方を頭の中でやってるから、さくらんぼにして紙にわかりやすく書くか、書かないかの違いなのかも。
勉強範囲が増えたり、昔と今とでは、学校の教え方も変わっているよね。+0
-0
-
492. 匿名 2021/06/19(土) 10:46:02
>>381
関係ないと思う。 私1月生まれだけど勉強は苦手じゃなかった。(ただし運動神経はアメトークに出られるレベルで酷い)
4月生まれの妹は逆だった。+1
-0
-
493. 匿名 2021/06/19(土) 10:49:11
>>58
専門で極めているわけではないのですが、特別支援に数年関わっている身です。
人が学び、知識を得る課程(認知)に「継次処理」と「同時処理」があります。
継次処理は一つずつ順番に覚えていくパターン、同時処理は全体をまず捉えてから細部を確認して覚えていくパターンです。
どちらがよいということはないですが、自分がどちらに当てはまるかが分かるだけでもかなり変わってくる気がします。
ワーキングメモリに直接関係しなかったら申し訳ないのですが、継次処理ならやることを一つずつやっていく(その中でより効率的に進められる方法が見つかったら入れ替える)、同時処理なら今日やるべきことは何かをまず確認して、何からやっていくか考えるといいかもしれません(こちらもやっていくうちにより良いやり方が見つかると思います)。
耳で記憶する方がやりやすいなら、声に出して繰り返し言ったり、リズムをつけて歌うように覚えたりする方法もありますし、目で記憶する方がやりやすいなら、スケジュール帳に書き込み、終わったら消すとかスマホとかのToDoリストを使うとか、デスクワークなら、卓上に小さめのホワイトボードを置いてメモにする(そして終わったら消す)という方法もありますよ。メモは、言われたときにすぐすると効果的です。
自分にとってやりやすい方法が見つかるといいですね😊+1
-0
-
494. 匿名 2021/06/19(土) 10:49:39
皆さん何の仕事してますか+0
-0
-
495. 匿名 2021/06/19(土) 10:50:20
呼ばれたので来ました。
特に理系が壊滅的でしたね。かけ算の時点でつまずいてました。できなさすぎて理系超得意な人を無条件で尊敬してしまう。
そしてできない子にありがちな、ノートはキレイにとってるタイプ。地味で真面目なのに地頭が悪く(学問をシステマティックにとらえられない)、勉強も努力も嫌いっていう最悪のパターンでした。
英語とかもきちんと理解せず結構勘でやってた気がします。
偏差値高くもなく低くもない田舎の公立高校にギリギリ引っかかったんですが、よくあれで受かったなと当時から不思議でした。絶対繰り上げ合格枠だったと思う。+1
-0
-
496. 匿名 2021/06/19(土) 10:51:55
>>9
たかし君は時速2キロで自宅を出た後、お父さんが時速4キロで10分後に自宅から出ました。
一緒に自宅出ろや!!+3
-0
-
497. 匿名 2021/06/19(土) 10:54:36
>>8
化学、物理、生物、全てで一桁台をとりました✌️+0
-0
-
498. 匿名 2021/06/19(土) 10:57:13
>>38
私は世界史で2点、
ヤケクソで人名を全部ルイ16世で埋めたら一個当たりました!+2
-0
-
499. 匿名 2021/06/19(土) 11:04:33
>>486
横だけどそうなのよ。全ての教科に興味が持てなさすぎて先生の話が聞けないのと理解力も恐ろしくなかった。
だから授業中いつも暇だった。+2
-0
-
500. 匿名 2021/06/19(土) 11:08:26
>>19
私それで先生に全部分かりませんって言ったら
めちゃくちゃ怒られた笑
分からないところ聞けって言ったから聞いたのに
なんで怒られないかんのですか+0
-0
- 1
- 2
コメントを投稿する
トピック投稿後31日を過ぎると、コメント投稿ができなくなります。削除すべき不適切なコメントとして通報しますか?
いいえ
通報する



